Trắc nghiệm Giá trị lớn nhất và giá trị nhỏ nhất của hàm số có đáp án (Thông hiểu)
Bài 3: Giá trị lớn nhất và giá trị nhỏ nhất của hàm số
Lớp 12;Toán
Số câu hỏi: 30 câuSố mã đề: 2 đềThời gian: 1 giờ
151,387 lượt xem 11,643 lượt làm bài
Cho hàm số y = f(x) liên tục trên [-2;3] có đồ thị như hình vẽ

Giá trị lớn nhất và giá trị nhỏ nhất của hàm số y=f(x) trên [0;3] lần lượt có giá trị là
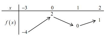
Cho hàm số f(x) liên tục trên [-3;2] và có bảng biến thiên như hình vẽ bên. Gọi M, m lần lượt là giá trị lớn nhất và nhỏ nhất của f(x) trên [-3;2]. Tính ?

Giá trị nhỏ nhất của hàm số trên đoạn bằng
Gọi m, M lần lượt là giá trị nhỏ nhất, giá trị lớn nhất của hàm số trên đoạn . Tính tổng
Cho là các hàm số liên tục trên đoạn [a;b]. Gọi , . Phát biểu nào dưới đây luônĐÚNG?
Gọi M, m lần lượt là giá trị lớn nhất và giá trị nhỏ nhất của hàm số trên đoạn . Tính tổng .
Tìm giá trị nhỏ nhất của hàm số trên đoạn
Hàm số nào dưới đây có giá trị nhỏ nhất trên tập xác định?
Biết hàm số đạt giá trị nhỏ nhất tại . Giá trị của bằng
Biết rằng giá trị lớn nhất của hàm số là một phân số tối giản có dạng . Khi đó tổng bằng?
Giá trị lớn nhất của hàm số bằng
Hàm số nào dưới đây có giá trị lớn nhất?
Cho hàm số . Gọi M và m lần lượt là giá trị lớn nhất và giá trị nhỏ nhất của hàm số đã cho trên . Giá trị của là
Giá trị lớn nhất của hàm số là bao nhiêu?
Một chất điểm chuyển động có phương trình với thời gian t tính bằng giây (s) và quãng đường s tính bằng (m). Trong thời gian 5 giây kể từ lúc bắt đầu chuyển động, vận tốc lớn nhất của chất điểm đạt được là
2 mã đề 25 câu hỏi

