75 câu trắc nghiệm Vectơ nâng cao
Ôn tập Toán 10 Chương 1 Hình học
Lớp 10;Toán
Số câu hỏi: 75 câuSố mã đề: 3 đềThời gian: 1 giờ
190,305 lượt xem 14,622 lượt làm bài
Gọi O là tâm hình bình hành ABCD. Đẳng thức nào sau đây sai?
Cộng các vectơ có cùng độ dài 5 và cùng giá. Khẳng định nào sau đây đúng?
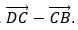
Cho tứ giác ABCD. Điều kiện cần và đủ để ?
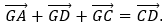
Cho tứ giác ABCD. Gọi M; N; P; Q lần lượt là trung điểm của AB; BC; CD ; DA. Khẳng định nào sai.
Cho tam giác ABC vuông cân đỉnh A, đường cao AH. Khẳng định nào sau đây sai?
Cho hình thoi ABCD cạnh a và góc . Đẳng thức nào sau đây đúng?
Cho 2 điểm phân biệt A; B và 1 điểm C. Có bao nhiêu điểm D thỏa mãn
Cho tam giác ABC có M thỏa mãn điều kiện . Xác định vị trí điểm M
Cho tam giác ABC. Tập hợp các điểm thỏa mãn là?
Cho hình bình hành ABCD. Tập hợp các điểm M thỏa mãn là?
Gọi O là tâm của hình vuông ABCD. Vectơ nào trong các vectơ dưới đây bằng
Cho tam giác ABC và điểm M thỏa mãn . Tìm vị trí điểm M.
Cho tam giác ABC. Hai điểm M, N được xác định bởi hệ thức:
. Tìm mệnh đề đúng
Cho tứ giác ABCD. Gọi I ; K lần lượt là trung điểm của AB; CD. Xác định vị trí điểm G sao cho:
Cho tam giác ABC. Tìm điểm M thỏa mãn
Cho hai tam giác ABC và A'B'C' lần lượt có trọng tâm là G và G'. Đẳng thức nào sau đây là sai?
Cho hình bình hành ABCD, điểm M thoả mãn: . Khi đó M là trung điểm của:
Gọi M; N lần lượt là trung điểm của các cạnh AB và CD của tứ giác ABCD. Mệnh đề nào sau đây đúng?
Gọi O là tâm hình bình hành ABCD; hai điểm E; F lần lượt là trung điểm AB; BC. Đẳng thức nào sau đây sai?
Cho hình bình hành ABCD. Gọi G là trọng tâm của tam giác ABC. Mệnh đề nào sau đây đúng?
Tam giác ABC có AB= AC= a ; . Tính độ dài vectơ tổng
Cho tam giác ABC đều cạnh a, H là trung điểm của BC. Tính
Gọi M; N lần lượt là trung điểm các cạnh AD; BC của tứ giác ABCD. Đẳng thức nào sau đây sai?
Cho tam giác ABC có trung tuyến AM, gọi I là trung điểm AM. Đẳng thức nào sau đây đúng?
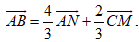
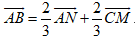
Gọi AN; CM là các trung tuyến của tam giác ABC. Đẳng thức nào sau đây đúng?
3 mã đề 75 câu hỏi
1 mã đề 80 câu hỏi
4 mã đề 75 câu hỏi
3 mã đề 74 câu hỏi
1 mã đề 50 câu hỏi

