75 Câu trắc nghiệm Bất đẳng thức - Bất phương trình cơ bản
Ôn tập Toán 10 Chương 4
Lớp 10;Toán
Số câu hỏi: 80 câuSố mã đề: 1 đềThời gian: 1 giờ
168,055 lượt xem 12,912 lượt làm bài
Tìm điều kiện xác định của bất phương trình sau: + < 1
Tìm điều kiện xác định của bất phương trình sau:
Tìm điều kiện xác định của bất phương trình sau: <
Bất phương trình nào sau đây không tương đương với bất phương trình x+ 5≥ 0 ?
Khẳng định nào sau đây đúng?
Tìm điều kiện xác định của phương trình sau: ≥
Tập nghiệm của bất phương trình sau có bao nhiêu nghiệm nguyên?
Tập nghiệm của bất phương trình sau có bao nhiêu nghiệm nguyên âm?
Tính tổng các nghiệm của bất phương trình sau ?
+ < + 1
Tìm nghiệm của bất phương trình sau?
Cho bất phương trình: . Tìm mệnh đề đúng?
Cho bất phương trình . Tìm mệnh đề đúng
Tập nghiệm của bất phương trình: là gì?
Tập nghiệm của bất phương trình là:
Giá trị x = –3 thuộc tập nghiệm của bất phương trình nào trong các bất phương trình sau đây?
Bất phương trình > + 3 có nghiệm là
Tìm tập nghiệm S của bất phương trình
Tìm tập nghiệm S của bất phương trình
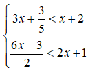
Tập nghiệm của hệ bất phương trình
là:
Cặp bất phương trình nào sau đây không tương đương
Cặp bất phương trình nào sau đây không tương đương:
Với điều kiện x ≠ 1, bất phương trình > 2 tương đương với mệnh đề nào sau đây:
Bất phương trình tương đương với:
Bất phương trình + < 3+ tương đương với:
Các giá trị của x thoả mãn điều kiện của bất phương trình: + > là:
Hệ bất phương trình
có nghiệm là:
Hệ bất phương trình
có nghiệm là:
Bất phương trình có nghiệm là:
Bất phương trình có nghiệm là
Tập nghiệm của bất phương trình là:
Hệ bất phương trình có nghiệm là:
Bất phương trình: có tập nghiệm là:
Khẳng định nào sau đây là khẳng định sai ?
Tìm nghiệm của bất phương trình sau:
Tìm nghiệm của bất phương trình sau:
Tập nghiệm của bất phương trình sau có bao nhiêu nghiệm nguyên dương
Cho bất phương trình: (*). Xét các mệnh đề sau
(1) Bất phương trình tương đương với x + 2 ≤ x + 1 (**)
(2) Với m = 0, bất phương trình thoả mãn với mọi x
(3) Với mọi giá trị của m thì bất phương trình vô nghiệm
Mệnh đề nào đúng?
Các giá trị m làm cho biểu thức luôn luôn dương là
Cho f(x) = . Xác định m để f(x) < 0 với mọi x
Tập nghiệm của bất phương trình sau có bao nhiêu nghiệm nguyên âm
Cho bất phương trình: (m – 1) x + 2 – m > 0. Tìm mệnh đề đúng?
Cho bất phương trình: m(mx–1) > 9x+ 3. Tính tổng các giá trị cùa m để bất phương trình vô nghiệm?
Cho bất phương trình: x ≥ (3m+ 7)x+2+m. Hỏi với m = –2 thì:
Cho nhị thức bậc nhất f(x) = 23x – 20. Khẳng định nào sau đây đúng?
Các số tự nhiên bé hơn 4 để f(x) = 2x/5 – 23 – (2x –16) luôn âm
Với x thuộc tập hợp nào dưới đây thì luôn âm:
Tìm tất cả các giá trị thực của tham số m để f(x) = m(x–m) – (x–1) không âm với mọi x (–∞;m+1]
Gọi S là tập tất cả các giá trị của x để f(x) = mx+ 6 – 2x – 3m luôn âm khi m < 2. Hỏi tập hợp nào sau đây là phần bù của tập S?
Tập nghiệm của bất phương trình
Số các giá trị nguyên âm của x để biểu thức f(x) = (x+3)(x–2)(x–4) không âm là
Tập nghiệm của bất phương trình
Với x thuộc tập hợp nào dưới đây thì không dương
Tìm tập nghiệm của bất phương trình < 1
Tìm tập nghiệm của bất phương trình ≤ 0
Tập nghiệm của bất phương trình f(x) = ≥ 0
Tìm m để bất phương trình sau có vô số nghiệm
Bất phương trình mx > 3+m vô nghiệm khi:
Tìm m để bất phương trình có nghiệm?
Xét dấu của các tam thức sau:
Xét dấu của các tam thức sau:
Cho tam thức bậc hai: . Chọn mệnh đề đúng?
Giải bất phương trình sau:
Giải bất phương trình sau
Giải bất phương trình sau:
Giải bất phương trình sau:
Tìm m để phương trình sau có nghiệm:
Tìm m để phương trình sau có nghiệm:

Cho tam thức bậc hai: . Tìm mệnh đề đúng?
Tập nghiệm của bất phương trình: là:
Tập nghiệm của bất phương trình: là S = [a;b]. Tính P =ab?
Cho bất phương trình: > 1. Nghiệm nguyên lớn nhất của bất phương trình là:
Tìm các giá trị của m để biểu thức sau luôn âm
Giải hệ bất phương trình sau:
Giải hệ bất phương trình sau
Giải hệ bất phương trình sau
Tìm các giá trị của m để biểu thức sau luôn âm
Hệ bất phương trình vô nghiệm khi
Tìm các giá trị của m để biểu thức sau luôn âm:

Tìm các giá trị của m để biểu thức sau luôn âm
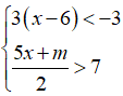
Tìm tất cả các giá trị thực của tham số m để hệ bất phương trình
có nghiệm
4 mã đề 75 câu hỏi
3 mã đề 75 câu hỏi
3 mã đề 75 câu hỏi
3 mã đề 74 câu hỏi
1 mã đề 50 câu hỏi

