(2023) Đề thi thử Vật Lý THPT Nguyễn Chí Thanh, Hồ Chí Minh có đáp án

Đề thi thử THPT Quốc gia môn Vật Lý năm 2023 từ trường THPT Nguyễn Chí Thanh, Hồ Chí Minh. Bộ đề được biên soạn kỹ lưỡng, có đáp án chi tiết, giúp học sinh củng cố kiến thức và nâng cao kỹ năng làm bài.

Từ khoá: Đề thi thử Vật lý 2023 Nguyễn Chí Thanh Hồ Chí Minh Đáp án chi tiết Luyện thi Ôn tập Tốt nghiệp Học sinh

Bộ sưu tập: 📘 Tuyển Tập Bộ Đề Thi Ôn Luyện THPT Quốc Gia Môn Vật Lý Các Tỉnh (2018-2025) - Có Đáp Án Chi Tiết 📘 Tuyển Tập Đề Thi Tham Khảo Các Môn THPT Quốc Gia 2025 🎯

Số câu hỏi: 40 câuSố mã đề: 1 đềThời gian: 1 giờ

251,644 lượt xem 19,342 lượt làm bài

Xem trước nội dung
Câu 1: 1 điểm

Gia tốc của chất điểm dao động điều hòa bằng không khi

A.  
tốc độ cực đại.
B.  
li độ cực tiểu.
C.  
li độ cực đại.
D.  
vận tốc bằng 0.
Câu 2: 1 điểm

Biết pha ban đầu của một vật dao động điều hòa, ta xác định được

A.  
vị trí và chiều chuyển động của vật lúc ban đầu.
B.  
cách kích thích dao động.
C.  
chu kỳ và trạng thái dao động
D.  
quỹ đạo dao động.
Câu 3: 1 điểm
Một con lắc đơn có chu kì dao động với biên độ nhỏ là 1s dao động tại nơi có g= π 2 m / s 2 . Chiều dài của dây treo con lắc là
A.  
15 cm.
B.  
30 cm
C.  
20 cm.
D.  
25cm.
Câu 4: 1 điểm
Một người quan sát một chiếc phao trên mặt biển thấy nó nhô lên cao 10 lần trong 18 s, khoảng cách giữa 2 ngọn sóng kề nhau là 1 m. Vận tốc truyền sóng trên mặt biển là
A.  
2 m/s.
B.  
1 m/s.
C.  
400 cm/s.
D.  
50 cm/s
Câu 5: 1 điểm
Trên mặt nước có 2 nguồn sóng kết hợp dao động cùng pha. Tại một điểm M trên mặt nước, biên độ của sóng do mỗi nguồn tạo ra là A 1 A 2 , hiệu đường đi của 2 sóng tới M bằng một số lẻ lần một phần tư bước sóng. Biên độ sóng tổng họp tại M là
A.  
B.  
C.  
D.  
Câu 6: 1 điểm

Khi con lắc đơn dao động điều hòa với biên độ nhỏ, chu kì dao động của nó

A.  
Không phụ thuộc vào biên độ dao động.
B.  
Giảm khi đưa con lắc lên cao so với mặt đất.
C.  
Phụ thuộc vào cách kích thích dao động.
D.  
Tỉ lệ thuận với chiều dài dây treo.
Câu 7: 1 điểm

tại một điểm trong vùng giao thoa có giá trị

A.  
cực tiểu khi hai sóng tới điểm đó vuông pha.
B.  
cực tiểu khi hiệu đường đi của hai sóng tới điểm đó bằng số nguyên lẻ lần bước sóng.
C.  
luôn bằng hai lần biên độ dao động của nguồn.
D.  
cực đại khi hai sóng tới điểm đó cùng pha.
Câu 8: 1 điểm

Trong một dao động điều hòa của con lắc lò xo thì

A.  
lực đàn hồi luôn khác 0.
B.  
lực đàn hồi bằng 0 khi vật qua vị trí cân bằng.
C.  
lực hồi phục cũng là lực đàn hồi.
D.  
lực phục hồi bằng 0 khi vật qua vị trí cân bằng.
Câu 9: 1 điểm

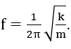
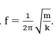
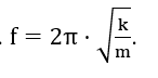
Một con lắc lò xo gồm vật nhỏ khối lượng m gắn với một lò xo nhẹ có độ cứng k. Con lắc này có tần số dao động riêng là

A.  
B.  
C.  
D.  
Câu 10: 1 điểm

Hiện tượng cộng hưởng thể hiện càng rõ nét khi

A.  
tần số của lực cưỡng bức lớn.
B.  
biên độ của lực cưỡng bức nhỏ.
C.  
lực cản, ma sát của môi trường nhỏ.
D.  
độ nhớt của môi trường càng lớn.
Câu 11: 1 điểm

Quan sát trên một sợi dây thấy có sóng dừng với biên độ của bụng sóng là a. Tại điểm trên sợi dây cách bụng sóng một phần tư bước sóng có biên độ dao động bằng

A.  
0
B.  
a 4
C.  
a 2
D.  
a
Câu 12: 1 điểm
Cho 2 dao động điều hòa cùng phương, cùng tần số có phương trình x 1 = A 1 cos⁡(ωt+ φ 1 ); x 2 = A 2 cos⁡(ωt+ φ 2 ). Biên độ dao động tổng hợp có giá trị nhỏ nhất khi
A.  
Hai dao động ngược pha
B.  
Hai dao động vuông pha
C.  
Hai dao động lệch pha 2 π 3
D.  
Hai dao động cùng pha
Câu 13: 1 điểm
Một vật chịu đồng thời hai dao động điều hòa cùng phương cùng tần số biết phương trình dao động tổng hợp của vật là x=5√3 cos⁡(10πt+π/3)cm và phương trình của dao động thứ nhất là x 1 =5cos⁡(10πt+ π/6 ). Phương trình dao động thứ hai là?
A.  
x=5cos⁡(10πt+π/2)cm
B.  
x=5cos⁡(10πt+2π/3)cm.
C.  
x=5cos⁡(10πt-π/2)cm.
D.  
x=5cos⁡(10πt+π/3)cm.
Câu 14: 1 điểm
Một sóng cơ học có bước sóng λ truyền theo một đường thẳng từ điểm M đến điểm N. Biết khoảng cách MN=d. Độ lệch pha Δφ của dao động tại hai điểm M và N là
A.  
πd/λ
B.  
πλ/d.
C.  
2πλ/d.
D.  
2πd/λ
Câu 15: 1 điểm
Một con lắc lò xo gồm vật có khối lượng m và lò xo có độ cứng k, dao động điều hòa. Nếu tăng độ cứng k lên 2 lần và giảm khối lượng m đi 8 lần thì tần số dao động của vật sẽ
A.  
giảm 4 lần.
B.  
tăng 4 lần.
C.  
giảm 2 lần.
D.  
tăng 2 lần.
Câu 16: 1 điểm

Khi nói về một hệ dao động cưỡng bức ở giai đoạn ổn định, phát biểu nào dưới đây là sai?

A.  
Biên độ của hệ dao động cưỡng bức phụ thuộc biên độ của ngoại lực cưỡng bức.
B.  
Tần số của hệ dao động cưỡng bức bằng tần số của ngoại lực cưỡng bức.
C.  
Biên độ của hệ dao động cưỡng bức phụ thuộc vào tần số của ngoại lực cưỡng bức.
D.  
Tần số của hệ dao động cưỡng bức luôn bằng tần số dao động riêng của hệ.
Câu 17: 1 điểm
Hệ số công suất của đoạn mạch R,L,C mắc nối tiếp không phụ thuộc vào đại lượng nào của đoạn mạch nêu sau đây?
A.  
Điện áp hiệu dụng U giữa hai đầu đoạn mạch
B.  
Điện trở R
C.  
Độ tự cảm L
D.  
Điện dung C của tụ điện
Câu 18: 1 điểm
Khi nói về sóng âm, phát biểu nào dưới đây là sai?
A.  
Sóng hạ âm không truyền được trong chân không.
B.  
Sóng siêu âm truyền được trong chân không.
C.  
Sóng cơ có tần số nhỏ hơn 16 Hz gọi là sóng hạ âm.
D.  
Sóng cơ có tần số lớn hơn 20000Hz gọi là sóng siêu âm.
Câu 19: 1 điểm

Nếu cường độ âm chuẩn làHình ảnhthì một âm có mức cường độ âm 50 dB sẽ có cường độ âm là

A.  
B.  
C.  
D.  
Câu 20: 1 điểm
Điện áp hai đầu đoạn mạch R,L,C mắc nối tiếp là u=200√2 cos(100πt-π/3)(V) và cường độ dòng điện qua đoạn mạch là i=√2 cos100πt(A). Công suất tiêu thụ của đoạn mạch bằng
A.  
200 W.
B.  
100 W.
C.  
141 W.
D.  
143 W.
Câu 21: 1 điểm

Với cùng một công suất cần truyền tải, nếu tăng hiệu điện thế hiệu dụng ở nơi truyền đi lên 20 lần thì công suất hao phí trên đường dây

A.  
tăng 400 lần.
B.  
giảm 20 lần.
C.  
giảm 400 lần.
D.  
tăng 20 lần.
Câu 22: 1 điểm

Một máy phát điện xoay chiều một pha có phần cảm là rôto quay với tốc độ 375 vòng/phút. Tần số của suất điện động cảm ứng mà máy phát tạo ra là 50Hz . Số cặp cực của rôto bằng

A.  
12.
B.  
4
C.  
16
D.  
8.
Câu 23: 1 điểm
Trên một sợi dây có chiều dài l, hai đầu cố định, đang có sóng dừng. Trên dây có một bụng sóng. Biết vận tốc truyền sóng trên dây là v không đổi. Tần số của sóng là
A.  
2 v l .
B.  
v 2 l
C.  
v l .
D.  
v 4 l
Câu 24: 1 điểm
Đặt điện áp u=20√2 cos100πt (V) vào hai đầu đoạn mạch chỉ có tụ điện có điện dung C=( 10 - 3 π )F thì cường độ dòng điện qua mạch là
A.  
i=4cos(100πt- π 2 ) (A).
B.  
i=√2 cos⁡(100πt+ π 2 ) (A)
C.  
i=2√2 cos(100πt+ π 2 ) (A)
D.  
i=2√2 cos⁡(100πt- π 2 ) (A).
Câu 25: 1 điểm
Đặt điện áp có ω thay đổi được vào hai đầu đoạn mạch gồm cuộn cảm thuần có độ tự cảm L, điện trở thuần R và tụ điện có điện dung C mắc nối tiếp. Khi ω< 1 L C thi
A.  
cường độ dòng điện trong đoạn mạch trễ pha so với điện áp giữa hai đầu đoạn mạch.
B.  
điện áp hiệu dụng giữa hai đầu điện trở thuần R bằng điện áp hiệu dụng giữa hai đầu đoạn mạch
C.  
điện áp hiệu dụng giữa hai đầu điện trở thuần R nhỏ hơn điện áp hiệu dụng giữa hai đầu đoạn mạch.
D.  
cường độ dòng điện trong đoạn mạch cùng pha với điện áp giữa hai đầu đoạn mạch.
Câu 26: 1 điểm
Đặt điện áp u=U√2 cosωt vào hai đầu đoạn mạch gồm điện trở thuần R, cuộn cảm thuần có độ tự cảm L và tụ điện có điện dung C mắc nối tiếp. Biết ω= 1 L C . Tổng trở của đoạn mạch này bằng
A.  
2R.
B.  
3 R.
C.  
R.
D.  
0,5R.
Câu 27: 1 điểm
Cường độ dòng điện trong mạch không phân nhánh có dạng i=2√2 cos⁡(100πt+ π 2 )(A). Tại thời điểm t=1 s cường độ dòng điện trong mạch là bao nhiêu?=
A.  
0.
B.  
2√2 A
C.  
2A
D.  
√2 A
Câu 28: 1 điểm

Khi tần số dòng điện xoay chiều chạy qua đoạn mạch chỉ chứa cuộn cảm tăng lên 4 lần thì cảm kháng của cuộn cảm

A.  
giảm đi 2 lần.
B.  
giảm đi 4 lần.
C.  
tăng lên 2 lần.
D.  
tăng lên 4 lần.
Câu 29: 1 điểm
Một chất điểm chuyển động theo phương trình x=4cos(10t+ π 2 )+Asin(10t+ π 2 ). Biết vận tốc cực đại của chất điểm là 50 cm/s. Kết quả nào sau đây đúng về giá trị A?
A.  
1 cm
B.  
4 cm.
C.  
3 cm.
D.  
2 cm.
Câu 30: 1 điểm
Một sóng âm truyền trong không khí. Mức cường độ âm tại điểm M và tại điểm N lần lượt là 40dB và 80 dB Cường độ âm tại N lớn hơn cường độ âm tại M
A.  
2 lần.
B.  
40 lần.
C.  
1000 lần.
D.  
10000 lần
Câu 31: 1 điểm
Một tụ điện có C= 10 - 3 2 π F mắc vào nguồn xoay chiều có điện áp u =120√2 cos100πt V. Số chỉ Ampe kế trong mạch là
A.  
7A
B.  
4A
C.  
5A
D.  
6A
Câu 32: 1 điểm
Một con lắc đơn có l=1 m;g=10 m/ s 2 được treo trên một xe otô, khi xe đi qua phần đường mấp mô, cứ 12 m lại có một chỗ ghềnh, tính vận tốc của vật để con lắc dao động mạnh nhất.
A.  
36km/s.
B.  
6 m/s.
C.  
60 km/h.
D.  
6 km/h.
Câu 33: 1 điểm
Một máy biến áp lí tưởng có cuộn sơ cấp gồm 1000 vòng, cuộn thứ cấp gồm 50 vòng. Điện áp hiệu dụng giữa hai đầu cuộn sơ cấp là 220 V. Bỏ qua hao phí. Điện áp hiệu dụng giữa hai đầu cuộn thứ cấp để hở là
A.  
11V.
B.  
110 V
C.  
440 V.
D.  
44 V.
Câu 34: 1 điểm
Một sóng ngang truyền theo chiều dương trục Ox, có phương trình sóng là u=6cos(4πt-0,02πx); trong đó u và x tính bằng cm,t tính bằng s. Sóng này có bước sóng là
A.  
200 cm.
B.  
100cm.
C.  
150 cm.
D.  
50 cm.
Câu 35: 1 điểm
Trên một sợi dây dài 2m đang có sóng dừng với tần số 100 Hz, người ta thấy ngoài 2 đầu dây cố định còn có 3 điểm khác luôn đứng yên. Vận tốc truyền sóng trên dây là
A.  
40 m/s.
B.  
60 m/s
C.  
80 m/s
D.  
100 m/s
Câu 36: 1 điểm
Tại một nơi trên mặt đất, một con lắc đơn dao động điều hòa. Trong khoảng thời gian Δt, con lắc thực hiện 60 dao động toàn phần; thay đổi chiều dài con lắc một đoạn 44 cm thì cũng trong khoảng thời gian Δt ấy, nó thực hiện 50 dao động toàn phần. Chiều dài ban đầu của con lắc là
A.  
60 cm.
B.  
144 cm.
C.  
100 cm
D.  
80 cm.
Câu 37: 1 điểm
Một vật dao động điều hòa từ A đến B với chu kỳ T, vị trí cân bằng O. Trung điểm OA,OB là M,N. Thời gian ngắn nhất để vật đi từ M đến N là 1 30 s. Hãy xác định chu kỳ dao động của vật.
A.  
1 4 s
B.  
1 5 s
C.  
1 10 s
D.  
1 6 s
Câu 38: 1 điểm
Trong thí nghiệm giao thoa sóng nước, hai nguồn kết hợp A và B dao động cùng pha với tần số 20 Hz. Người ta thấy điểm M dao động cực đại và giữa M với đường trung trực của AB có một đường không dao động. Hiệu khoảng cách từ M đến A,B là 2cm. Vận tốc truyền sóng trên mặt nước bằng
A.  
10 cm/s.
B.  
30 cm/s.
C.  
20 cm/s
D.  
40 cm/s.
Câu 39: 1 điểm
Đặt điện áp u=220√2 cos⁡100πt(V) vào hai đầu đoạn mạch mắc nối tiếp gồm điện trở 20Ω, cuộn cảm thuần có độ tự cảm 0 , 8 π H và tụ điện có điện dung 10 - 3 6 π F. Khi điện áp tức thời giữa hai đầu điện trở bằng 110√3 V thì điện áp tức thời giữa hai đầu cuộn cảm có độ lớn là
A.  
330 V.
B.  
440√3 V.
C.  
440 V
D.  
330√3 V.
Câu 40: 1 điểm
Nếu gắn vật m l =0,3 kg vào một lò xo thì trong khoảng thời gian t vật thực hiện được 6 dao động, gắn thêm gia trọng Δm vào lò xo trên thì cũng khoảng thời gian t vật thực hiện được 3 dao động, tìm Δm.
A.  
1,2 kg.
B.  
0,6 kg.
C.  
0,3kg.
D.  
0,9kg.