(2023) Đề thi thử Vật lí THPT Nguyễn Thượng Hiền, Hồ Chí Minh có đáp án
Từ khoá: Đề thi thử Vật lí 2023 Nguyễn Thượng Hiền Hồ Chí Minh Đáp án chi tiết Luyện thi Ôn tập Tốt nghiệp Học sinh
Bộ sưu tập: 📘 Tuyển Tập Bộ Đề Thi Ôn Luyện THPT Quốc Gia Môn Vật Lý Các Tỉnh (2018-2025) - Có Đáp Án Chi Tiết 📘 Tuyển Tập Đề Thi Tham Khảo Các Môn THPT Quốc Gia 2025 🎯
Số câu hỏi: 40 câuSố mã đề: 1 đềThời gian: 1 giờ
309,289 lượt xem 23,780 lượt làm bài
Một trong những đặc trưng vật lý của âm là
Một vật dao động điều hoà, khi vật qua vị trí cân bằng đại lượng nào sau đây có độ lớn cực đại?
Dao động của con lắc đồng hồ là
Hai nguồn sóng kết hợp không nhất thiết phải
Khi nói về dao động cơ cưỡng bức, tần số của dao động cưỡng bức
Một sóng dọc truyền trong một môi trường thì phương dao động của các phần từ môi trường
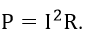
Công suất tiêu thụ trung bình của dòng điện xoay chiều không được tính theo công thức nào sau đây?



Một sóng cơ có tần số f và bước sóng , truyền trên dây đàn hồi với tốc độ truyền sóng được xác định bởi công thức
Một con lắc lò xo gồm vật nhỏ khối lượng m và lò xo nhẹ có độ cứng k đang dao động điều hòa. Khi vật qua vị trí có li độ x thì gia tốc của vật là




Điện áp giữa hai đầu một mạch điện xoay chiều chỉ có cuộn cảm thuần là
). Biểu thức cường độ dòng điện qua
mạch trên có dạng là




Đặt vào hai đầu đoạn mạch RLC mắc nối tiếp một điện áp xoay chiều
. Biểu thức nào sau đây đúng cho trường hợp mạch có cộng hưởng điện?



Hai nguồn kết hợp S1,S2 trên mặt nước dao động với phương trình
. Một điểm nằm trên đường trung trực của S1S2 dao động với biên độ
Đặt điện áp
vào hai đầu cuộn cảm thuần có độ tự cảm L. Tại thời điểm mà điện áp giữa hai đầu cuộn cảm có độ lớn cực đại thì cường độ dòng điện qua cuộn cảm bằng



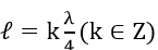
Sóng truyền trên một sợi dây đàn hồi có một đầu cố định, một đầu tự do với bước sóng . Chiều dài của dây nhận giá trị nào trong các giá trị dưới đây thì trên dây có thể có sóng dừng?
Gọi là bước sóng, A,B là hai điểm trên cùng phương truyền sóng. Tại một thời điểm t, điểm A là đinh sóng, điểm B là đáy (hõm) sóng. Khoảng cách d giữa A và B thỏa mãn biểu thức


Đặt điện áp
vào hai đầu đoạn mạch gồm điện trở thuần R, cuộn thuần cảm có độ tự cảm L và tụ điện có điện dung C mắc nối tiếp. Biết
. Tổng trở của đoạn mạch này bằng
Khi từ thông qua một khung dây dẫn biến thiên theo biểu thức
thì trong khung dây xuất hiện suất điện động cảm ứng có biểu thức
. Giá trị của
là
Hai nguồn kết hợp S1,S2 trên mặt nước cách nhau một khoảng l dao động giống nhau
. Bước sóng truyền trên mặt nước là
. Để trung điểm I của S1,S2 dao động cùng pha với 2 nguồn thì




Một con lắc lò xo gồm lò xo khối lượng không đáng kể, độ cứng k và một hòn bi nhỏ khối lượng m gắn vào đầu một lò xo, đầu kia của lò xo được treo vào một điểm cố định. Kích thích cho con lắc dao động điều hòa theo phương thẳng đứng. Chu kì dao động của con lắc là




Trong sóng cơ, tốc độ truyền sóng là
Giá trị đo của am-pe kế xoay chiều cho biết
Khi nói về sự phản xạ của sóng cơ trên vật cản cố định, phát biểu nào sau đây đúng?
Sóng phát ra từ một nguồn điểm O. Xét 2 điểm M,N trên phương truyền sóng, MN =d. Sóng truyền từ O đến M, rồi đến N. Gọi
là bước sóng và sóng truyền đi với biên độ không đổi. Biết phương trình sóng tại N là
. Phương trình sóng tại M là




Khi tần số của dòng điện xoay chiều chạy qua đoạn mạch chỉ chứa tụ điện tăng lên 4 lần thì dung kháng của tụ điện sẽ
Đặt điện áp
(t tính bằng s) vào hai đầu một tụ điện có điện dung
. Dung kháng của tụ điện là
Một dòng điện có cường độ
chạy qua đoạn mạch chi có điện trở 100 . Công suất tiêu thụ của đoạn mạch là
Cường độ âm tại một điểm trong môi trường truyền âm là
. Biết cường độ âm chuẩn là 
. Mức cường độ âm tại điểm đó là
Tại cùng một nơi trên Trái Đất, con lắc đơn có chiều dài l dao động điều hòa với chu kì 2 (s), con lắc đơn có chiều dài 2l dao động điều hòa với chu kì là
Trên một sợi dây đàn hồi dài 1,2 m, hai đầu cố định, đang có sóng dừng. Biết sóng truyền trên dây có tần số 100 Hz và tốc độ 80 m/s. Số bụng sóng trên dây là
Một vật nhỏ dao động điều hòa với chu kì 1(s), biên độ 4(cm), pha ban đầu . Quãng đường vật đi được từ thời điểm ban đầu (t0)= 0 đến thời điểm t =0,5(s) là
Hai vật thực hiện đồng thời hai dao động điều hoà cùng phương có phương trình dao động lần lượt l
và
. Hai vật này đang dao động
Đoạn mạch điện mắc nối tiếp gồm R =100( ); cuộn dây thuần cảm có độ tự cảm ; tụ điện có điện dung
. Đặt vào hai đầu đoạn mạch điện áp
. Tổng trở của đoạn mạch bằng
Trên mặt nước có hai nguồn phát sóng kết hợp cùng biên độ, cùng pha đặt tại A, B. Bước sóng truyền trên mặt nước là
. Cho AB=10,1 . Trên mặt nước xét đường tròn đường kính AB.Số điểm dao động cùng pha với hai nguồn trên đường tròn này là
Dao động của một chất điểm là tổng hợp của hai dao động điều hòa cùng phương, có phương trình lần lượt là
và
. Tại t =0 gia tốc của vật có độ lớn
. Biên độ dao động của vật là Trong một thí nghiệm về giao thoa sóng nước, hai nguồn A và B cách nhau 16(cm), dao động điều hòa theo phương vuông góc với mặt nước với cùng phương trình
(u tính bằng mm, t
tinh bằng s
). Tốc độ truyền sóng trên mặt nước là 12(cm/s). Trên đoạn AB có bao nhiêu điểm dao động với biên độ 4 mm
Đặt điện áp
vào hai đầu đoạn mạch MN gồm đoạn mạch MP và đoạn mạch PN mắc nối tiếp. Điện áp hiệu dụng hai đầu đoạn mạch MP là 60 V; điện áp hiệu dụng hai đầu đoạn mạch PN là 880V; độ lệch pha giữa điện áp hai đầu đoạn mạch MP và điện áp hai đầu đoạn PN là
. Giá trị của U0 gần nhất với giá trị nào sau đây
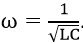
Một hệ gồm 2 lò xo ghép nối tiếp có độ cứng k1 và k2=200 (N/m). Một đầu lò xo gắn với vật nặng có khối lượng 1 kg, đâu còn lại treo vào trần xe lửa, Con lắc bị kích thích dao động mỗi khi bánh xe lửa gặp chỗ nối của các thanh ray. Biết chiều dài mỗi thanh ray là 12,5(m). Biết vật dao động mạnh nhất lúc xe lửa đạt tốc độ 45(km/h). Lấy
. Tính giá trị k1.
Mạch điện xoay chiều gồm điện trở thuần R, cuộn cảm thuần L
và tụ điện C (có điện dung thay đổi được) mắc nối tiếp. Đặt vào hai đầu đoạn mạch này điện áp
thì điện áp hiệu dụng giữa hai đầu điện trở là 50(V); điện áp hiệu dụng giữa hai đầu cuộn cảm thuần là 100(V) và dòng điện trong mạch trễ pha so với điện áp hai đầu đoạn mạch. Điện áp hiệu dụng giữa hai bản tụ điện bằng
Mạch điện xoay chiều không phân nhánh gồm: điện trở thuần R, cuộn dây thuần cảm L
và tụ điện C. Đặt vào hai đầu đoạn mạch điện áp xoay chiều có tần số và điện áp hiệu dụng không đổi. Dùng vôn kế có điện trở rất lớn, lần lượt đo điện áp hai đầu điện trở, hai đầu cuộn dây và hai đầu tụ điện thì số chỉ của vôn kế tương ứng là UR,ULvà UC. Biết
. Hệ số công suất của đoạn mạch trên có giá trị là




Đặt điện áp xoay chiều u=120
vào hai đầu đoạn mạch AB gồm hai đoạn mạch AM và MB mắc nối tiếp thì cường độ hiệu dụng qua mạch là 0,5(V). Đoạn mąch AM gồm điện trở thuần R mắc nối tiếp với tự điện C, đoạn mạch MB là cuộn dây có độ tự cảm L và điện trở r. Biết điện áp giữa hai đầu đoạn mạch AM và điện áp giữa hai đầu đoạn mạch AB lệch pha nhau
. Điện áp hiệu dụng hai đầu điện trở R bằng một nửa điện áp hiệu dụng giữa hai đầu đoạn AM. Công suất tiêu thụ của mạch là
1 mã đề 40 câu hỏi
1 mã đề 40 câu hỏi
1 mã đề 40 câu hỏi
1 mã đề 40 câu hỏi

