(2023) Đề thi thử Vật lí THPT soạn theo ma trận đề minh họa BGD (Đề 9) có đáp án
Đề thi thử THPT Quốc gia môn Vật Lí năm 2023 được soạn theo ma trận đề minh họa của Bộ Giáo dục. Bộ đề cung cấp đáp án chi tiết, giúp học sinh rèn luyện kỹ năng giải bài tập, làm quen với cấu trúc đề thi và ôn tập kiến thức một cách hiệu quả.
Từ khoá: Đề thi thử Vật lí 2023 Ma trận đề Đáp án chi tiết Luyện thi Ôn tập Tốt nghiệp Học sinh Cấu trúc đề
Bộ sưu tập: 📘 Tuyển Tập Bộ Đề Thi Ôn Luyện THPT Quốc Gia Môn Vật Lý Các Tỉnh (2018-2025) - Có Đáp Án Chi Tiết 📘 Tuyển Tập Đề Thi Tham Khảo Các Môn THPT Quốc Gia 2025 🎯
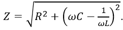
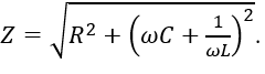
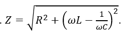
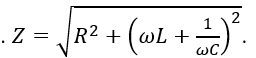
Câu 1: Đoạn mạch gồm điện trở thuần R, cuộn dây thuần cảm có độ tự cảm L và tụ điện có điện dung C mắc nối tiếp. Đặt vào hai đầu đoạn mạch một điện áp xoay chiều tần số góc ω thì tổng trở của mạch là
Câu 2: Hai dao động điều hòa có phương trình lần lượt là =5 cos(10πt+π/2) cm, =3 cos(10πt-π/6) cm Độ lệch pha của hai dao động này bằng
Câu 3: A. thay đổi độ cong của thủy tinh thể để ảnh của vật quan sát hiện rõ nét trên màn lưới.
B. Thay đổi đường kính của con ngươi để thay đổi cường độ sáng chiếu vào mắt.
C. thay đổi vị trí của vật để cho ảnh hiện rõ nét trên màn lưới.
D. thay đổi khoảng cách từ thủy tinh thể đến màn lưới để ảnh của vật hiện rõ nét trên võng mạc.
Câu 4: Khi sóng âm truyền từ không khí vào nước thì
A. tần số sóng không đổi, vận tốc của sóng tăng.
B. tần số sóng không đổi, vận tốc của sóng giảm.
C. tần số sóng tăng, vận tốc của sóng tăng.
D. tần số sóng giảm, vận tốc của sóng giảm.
Câu 5: Việc ghép nối tiếp các nguồn điện để
A. có được bộ nguồn có suất điện động lớn hơn các nguồn có sẵn.
B. có được bộ nguồn có suất điện động nhỏ hơn các nguồn có sẵn.
C. có được bộ nguồn có điện trở trong nhỏ hơn các nguồn có sẵn.
D. có được bộ nguồn có điện trở trong bằng điện trở mạch ngoài.
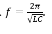
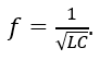
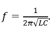
Câu 6: Tần số dao động riêng của dao động điện từ trong mạch dao động LC là
Câu 7: Quan sát những người thợ hàn điện, khi làm việc họ thường dùng mặt nạ có tấm kính để che mặt. Họ làm như vậy là do
A. A. ngăn chặn tia chiếu tới mắt làm hỏng mắt.
B. chống bức xạ nhiệt làm hỏng da mặt.
C. chống hàm lượng lớn tia hồng ngoại tới mặt, chống loá mắt.
D. tránh làm cho da tiếp xúc trực tiếp với tia tử ngoại và chống loá mắt.
Câu 8: Ánh sáng nhìn thấy có thể gây ra hiện tượng quang điện ngoài với
Câu 9: Một nhóm học sinh tiến hành đo bước sóng ánh sáng đỏ bằng thí nghiệm giao thoa khe Young. Nhóm dự định sẽ chỉ chắn một khe bằng kính lọc sắc đỏ, khe còn lại sẽ chắn bằng kính lọc sắc lục và dự đoán sự thay đổi của hệ vân trước khi tiến hành thí nghiệm kiểm tra. Dự đoán nào sau đây của nhóm là đúng
A. Vân sáng sẽ có màu vàng.
B. Vân giao thoa sẽ biến mất.
C. Khoảng vân sẽ không đổi.
D. Khoảng vân sẽ giảm xuống.
Câu 10: Chọn câu phát biểu sai về photon.
A. Photon không có khối lượng nên không mang năng lượng.
B. Năng lượng của mỗi phôtôn không đổi trong quá trình lan truyền.
C. Photon chuyển động dọc theo tia sáng.
D. D. Trong chân không phôtôn chuyển động với tốc độ
Câu 11: Khi nói về tia α, phát biểu nào sau đây là sai?
A. Tia α phóng ra từ hạt nhân với tốc độ bằng 2000 m/s. B. Khi đi qua điện trường giữa hai bản tụ điện, tia α bị lệch về phía bản âm của tụ điện. C. Khi đi trong không khí, tia α làm ion hóa không khí và mất dần năng lượng. D. Tia α là dòng các hạt nhân heli ((_2^4)He).
A. Tia α phóng ra từ hạt nhân với tốc độ bằng 2000 m/s.
B. Khi đi qua điện trường giữa hai bản tụ điện, tia α bị lệch về phía bản âm của tụ điện.
C. Khi đi trong không khí, tia α làm ion hóa không khí và mất dần năng lượng.
D. Tia α là dòng các hạt nhân heli
Câu 12: Chọn câu không đúng đối với hạt nhân nguyên tử
A. hạt nhân tích điện dương.
B. điện tích proton bằng điện tích electron.
C. notron không mang điện.
D. nguyên tử trung hòa có điện tích bằng 0.
Câu 13: Tính chất cơ bản của từ trường là gây ra.
A. lực từ tác dụng lên nam châm hoặc dòng điện đặt trong nó.
B. lực hấp dẫn lên các vật đặt trong nó.
C. lực đàn hồi tác dụng lên các dòng điện hoặc nam châm đặc trong nó.
D. sự biến đổi về tính chất điện của môi trường xung quanh.
Câu 14: Phát biểu nào sau đây là sai khi nói về sóng điện từ?
A. Khi sóng điện từ gặp mặt phân cách giữa hai môi trường thì nó có thể bị phản xạ và khúc xạ.
B. Sóng điện từ truyền được trong chân không.
C. Sóng điện từ là sóng ngang nên nó chỉ truyền được trong chất rắn.
D. Trong sóng điện từ thì dao động của điện trường và của từ trường tại một điểm luôn đồng pha với nhau.
Câu 15: Điện năng được truyền đi từ một nhà máy với công suất truyền đi là P đến nơi tiêu thụ có công suất tiêu thụ . Khi đó hao phí trong quá trình truyền tải ∆P được xác định bằng biểu thức
Câu 16: Sóng cơ có tần số 80 Hz lan truyền trong một môi trường vật chất với tốc độ 40 m/s. Sóng đã truyền đi với bước sóng bằng
Câu 17: Máy biến áp là thiết bị có khả năng
A. làm tăng công suất, của dòng điện xoay chiều.
B. làm tăng tần số của dòng điện xoay chiều.
C. biến đổi điện áp xoay chiều.
D. biến đổi điện áp một chiều.
Câu 18: Một chất điểm thực hiện dao động điều hòa với phương trình x=A cos(ωt), với A và ω là các hằng số. Tíc số ωA là
A. biên độ dao động của vật.
B. tốc độ dao động cưc đại của vật.
C. tần số góc của dao động
Câu 19: Phát biểu nào sau đây khi nói về hiện tượng tán sắc ánh sáng và ánh sáng đơn sắc là sai ?
A. Hiện tượng tán sắc ánh sáng là hiện tượng khi qua lăng kính, chùm ánh sáng trắng không những bị lệch về phía đáy mà còn bị tách ra thành nhiều chùm sáng có màu sắc khác nhau.
B. Mỗi ánh sáng đơn sắc có một màu nhất định.
C. Trong quang phổ của ánh sáng trắng có vô số các ánh sáng đơn sắc khác nhau có màu biến thiên liên tục từ đỏ đến tím.
D. Ánh sáng trắng là ánh sáng gồm bảy màu liên tục từ đỏ tới tím.
Câu 20: Công tơ điện là thiết bị dùng để đo điện năng tiêu thụ của hộ gia đình. Đơn vị đo của thiết bị này là
Câu 21: Cho dòng điện không đổi I chạy trong một dây dẫn thẳng dài, ta đo được cảm ứng từ tại điểm cách dây dẫn một đoạn r là B, cảm ứng từ tại điểm cách dây dẫn một đoạn 2r là
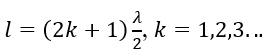
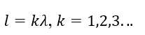
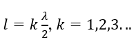
Câu 22: Một sợi dây đàn hồi, chiều dài , một đầu cố định, một đầu để tự do. Điều kiện để có sóng dừng trên dây là
Câu 23: Một vật dao động điều hòa trên đoạn thẳng AB, gọi O là trung điểm của AB. Phát biểu nào sau đây đúng khi nói về sự biến đổi của động năng và thế năng của vật khi chuyển động ?
A. Khi chuyển động từ O đến A, động năng của vật tăng.
B. Khi chuyển động từ B đến O, thế năng của vật tăng.
C. Khi chuyển động từ O đến A, thế năng của vật giảm.
D. Khi chuyển động từ O đến B, động năng của vật giảm.
Câu 24: Một khung dây dẫn hình chữ nhật có 100 vòng, diện tích mỗi vòng 400 , quay đều quanh trục đối xứng của khung với tốc độ góc 240 vòng/phút trong một từ trường đều có cảm ứng từ bằng 0,2 T. Trục quay vuông góc với các đường cảm ứng từ. Chọn gốc thời gian lúc vectơ pháp tuyến của mặt phẳng khung dây ngược hướng với vectơ cảm ứng từ. Biểu thức suất điện động cảm ứng trong khung là
Câu 25: Một động cơ điện xoay chiều hoạt động bình thường với điện áp hiệu dụng bằng 220 V và dòng điện hiệu dụng bằng 3 A. Biết điện trở trong của động cơ là 30 Ω và hệ số công suất của động cơ là 0,9. Công suất hữu ích của động cơ này là
Câu 26: Một mạch dao động điện từ lí tưởng gồm cuộn cảm thuần và tụ điện có điện dung thay đổi được. Trong mạch đang có dao động điện từ tự do. Khi điện dung của tụ điện có giá trị 20 pF thì chu kì dao động riêng của mạch dao động là 3 μs. Khi điện dung của tụ điện có giá trị 180 pF thì chu kì dao động riêng của mạch dao động là
A. 9 μs. B. 27 μs. C. 1/9 μs. D. 1/27 μs.
Câu 27: Cứ sau khoảng thời gian ngắn nhất là ∆t=0,15 s thì thế năng đàn hồi của lò xo dao động theo phương ngang lại bằng nửa thế năng đàn hồi cực đại của nó. Chu kì dao động của con lắc này là
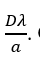
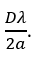
Câu 28: Trong thí nghiệm Young về giao thoa ánh sáng, nguồn sáng phát ra ánh sáng đơn sắc có bước sóng λ, hai khe cách nhau một khoảng a, khoảng cách từ hai khe đến màn là D. Trên màn, khoảng cách giữa hai vân sáng liên tiếp là
Câu 29: Một con lắc đơn gồm đang dao động điều hòa với biên độ góc Tại vị trí lực phục hồi tác dụng lên vật có độ lớn bằng một nửa độ lớn cực đại, li độ góc của con lắc là
Câu 30: Một vật dao động điều hòa với biên độ 5 cm, chu kì T=1 s, quãng đườngmà vật đi được trong khoảng thời gian ∆t=1 s là
Câu 31: Cho khối lượng của proton, notron, , lần lượt là: 1,0073 u; 1,0087 u; 39,9525u; 6,0145 u và 1u=931,5 MeV/ . So với năng lượng liên kết riêng của hạt nhân thì năng lượng liên kết riêng của hạt nhân
A. lớn hơn một lượng là 5,20 MeV.
B. lớn hơn một lượng là 3,42 MeV
C. nhỏ hơn một lượng là 3,42 MeV.
D. nhỏ hơn một lượng là 5,20 MeV.
Câu 32: Cho một hạt nhân khối lượng A đang đứng yên thì phân rã thành hai hạt nhân có khối lượng B và D. Cho vận tốc của ánh sáng là c. Động năng của hạt D là
Câu 33: Một mạch điện xoay chiều chỉ chứa tụ điện có điện dung C= μF, cường độ dòng điện tức thời qua mạch có biểu thức i=4√2 cos(100πt+ ) A. Biểu thức điện áp giữa hai đầu đoạn mạch là
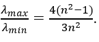
Câu 34: Electron của khối khí Hidro được kích thích lên quỹ đạo dừng thứ n từ trạng thái cơ bản. Tỉ số bước sóng dài nhất và ngắn nhất trong vạch phổ thu được là
Câu 35: Trong thí nghiệm Young về giao thoa ánh sáng, người ta dùng đồng thời ánh sáng màu đỏ có bước sóng 0,72 μm và ánh sáng màu lục có bước sóng từ 500 nm đến 575 nm. Biết rằng giữa hai vân sáng liên tiếp trùng màu với vân trung tâm người ta đếm được có bốn vân sáng màu đỏ. Coi hai bức xạ trùng nhau tính là một vân sáng. Nếu giữa hai vân sáng trùng màu với vân trung tâm đếm được 12 vân sáng màu đỏ thì số vân sáng quan sát được giữa hai vân trùng màu với vân trung tâm (không tính hai vân này) là
Câu 36: Tại đỉnh A của một hình vuông ABCD người ta có đặt một nguồn âm điểm phát ra sóng âm đẳng hướng. Một thiết bị do mức cường độ âm do được mức cường độ âm tại B là 5 dB. Mức cường độ âm đo được tại điểm C bằng
Câu 37: Trong một thí nghiệm về giao thoa sóng mặt nước, hai nguồn kết hợp và đặt cách nhau một khoảng 8 cm dao động cùng pha, và cùng biên độ với nhau. Chọn hệ trục tọa độ vuông góc với xOy thuộc mặt nước với gốc tọa độ là vị trí đặt nguồn còn nguồn nằm trên trục Oy. Hai điểm P và Q nằm trên Ox có OP=3,9 cm và OQ=55/6 cm. Biết phần tử nước tại P và phần tử nước tại Q dao động với biên độ cực đại. Giữa P và Q có 2 cực tiểu. Trên đoạn OP, điểm gần P nhất mà các phần tử nước dao động với biên độ cực tiểu cách P một đoạn gần với giá trị nào nhất?
Câu 38: Cho mạch điện như hình vẽ. Biết u=50 cos(10t) V; R=300 Ω, L=60 H, C=0,50 mF. Từ thông riêng qua cuộn cảm tại thời điểm t= s có giá trị gần nhất giá trị nào sau đây?
Câu 39: Hình bên là các đường tròn trên mặt nước có tâm tại các nguồn kết hợp hoặc . Các đường tròn nét liền có bán kính bằng một số nguyên lần bước sóng, còn các đường tròn nét đứt có bán kính bằng một số bán nguyên lần bước sóng. Biết rằng tại M là một cực tiểu giao thoa
Kết luận nào sau đây là đúng cho các dao động tại M và N tại ?
A. A. M dao động với biên độ cực tiểu
B. B. M dao động với biên độ cực đại cùng pha với .
C. C. N dao động với biên độ cực tiểu.
D. D.N dao động với biên độ cực đại cùng pha với .
Câu 40: Cho cơ hệ con lắc đơn như hình vẽ. Điểm cố định I của dây treo được gắn vào giá đỡ nhẹ đặt trên một bề mặt nằm ngang, nhám. Ta kích thích cho con lắc dao động trong mặt phẳng thẳng đứng với biên độ góc Lấy g=10 m/
Giá trị nhỏ nhất của hệ số ma sát giữa giá đỡ và mặt phẳng nằm ngang để giá đỡ không trượt trong quá trình con lắc dao động điều hòa là