(2023) Đề thi thử Vật lí THPT soạn theo ma trận đề minh họa BGD (Đề 16) có đáp án
Từ khoá: Đề thi thử Vật lí 2023 Ma trận đề Đáp án chi tiết Luyện thi Ôn tập Tốt nghiệp Học sinh Đề minh họa
Bộ sưu tập: 📘 Tuyển Tập Bộ Đề Thi Ôn Luyện THPT Quốc Gia Môn Vật Lý Các Tỉnh (2018-2025) - Có Đáp Án Chi Tiết 📘 Tuyển Tập Đề Thi Tham Khảo Các Môn THPT Quốc Gia 2025 🎯
Số câu hỏi: 40 câuSố mã đề: 1 đềThời gian: 1 giờ
274,168 lượt xem 21,078 lượt làm bài
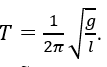
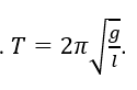
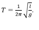
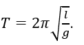
Công thức tính chu kì dao động điều hòa của con lắc đơn có chiều dài tại nơi có gia tốc trọng trường là




Máy phát điện xoay chiều hoạt động dựa vào hiện tượng
Thực hiện thí nghiệm Young về giao thoa ánh sáng. Để có thể dễ dàng đo được khoảng vân ta có thể




Quang điện trở là một linh kiện điện tử hoạt động dựa vào hiện tương




Chọn câu đúng nhất. Điều kiện để có dòng điện
Chọn phương án đúng. Quang phổ liên tục của một vật nóng sáng




Sóng điện từ
Gọi.
lần lượt là bước sóng của các tia chàm, cam, lục, vàng. Sắp xếp thứ tự nào dưới đây là đúng?




Trong dao động tắt dần. Biên độ dao động của con lắc
Trong quá trình lan truyền của sóng cơ. Hai điểm nằm trên cùng một phương truyền sóng dao động ngược pha nhau thì có vị trí cân bằng cách nhau một khoảng ngắn nhất bằng








Hạt nhân có
Cho phản ứng hạt nhân.
Trong đó hạt X có
Hình nào dưới đây kí hiệu đúng với hướng của từ trường đều tác dụng lực Lorentz lên hạt điện tích q chuyển động với vận tốc trên quỹ đạo tròn trong mặt phẳng vuông góc với đường sức từ.





Một sợi dây đàn hồi căng ngang, đang có sóng dừng ổn định. Trên dây, A là một điểm nút, B là điểm bụng gần A nhất. Gọi L là khoảng cách giữa A và B ở thời điểm t. Biết rằng giá trị của phụ thuộc vào thời gian được mô tả bởi đồ thị như hình bên. Điểm N trên dây có vị trí cân bằng cách A một khoảng cm khi dây duỗi thẳng. Vận tốc dao động của N có giá trị lớn nhất bằng

Trên mặt phẳng nghiêng góc α=3 so với phương ngang, có một chiếc gờ thẳng, dài, nằm ngang, có thành phẳng, vuông góc với mặt phẳng nghiêng, được đặt cố định. Một con lắc lò xo được bố trí nằm trên mặt phẳng nghiêng và gờ như hình vẽ. Biết lò xo có độ cứng N/m, vật nặng có khối lượng m=100g, hệ số ma sát giữa vật và các bề mặt là μ=0,2. Lấy m/ . Từ vị trí lò xo không biến dạng, kéo vật đến vị trí lò xo giãn một đoạn Δl rồi thả nhẹ. Tốc độ cực đại của vật sau khi được thả ra là

Đặt một điện áp u=U√2 cos(120πt)V vào hai đầu mạch điện gồm điện trở thuần R=125 Ω, cuộn dây và tụ điện có điện dung thay đổi được mắc nối tiếp như hình vẽ. Điều chỉnh điện dung C của tụ, chọn r, L sao cho khi lần lượt mắc vôn kế lí tưởng vào các điểm A, M; M, N và N, B thì vôn kế lần lượt chỉ các giá trị.
thỏa mãn biểu thứ.
. Để điện áp hiệu dụng giữa hai đầu tụ điện đạt giá trị cực đại thì phải điều chỉnh điện dung của tụ điện đến giá trị gần nhất với giá trị nào?


