(2023) Đề thi thử Vật lí THPT soạn theo ma trận đề minh họa BGD (Đề 15) có đáp án

Đề thi thử THPT Quốc gia môn Vật Lí năm 2023, được xây dựng dựa trên ma trận đề minh họa của Bộ Giáo dục. Bộ đề cung cấp đáp án chi tiết, giúp học sinh luyện thi hiệu quả và chuẩn bị sẵn sàng cho kỳ thi.

Từ khoá: Đề thi thử Vật lí 2023 Ma trận đề Đáp án chi tiết Luyện thi Ôn tập Tốt nghiệp Học sinh Đề minh họa

Bộ sưu tập: 📘 Tuyển Tập Bộ Đề Thi Ôn Luyện THPT Quốc Gia Môn Vật Lý Các Tỉnh (2018-2025) - Có Đáp Án Chi Tiết 📘 Tuyển Tập Đề Thi Tham Khảo Các Môn THPT Quốc Gia 2025 🎯

Số câu hỏi: 40 câuSố mã đề: 1 đềThời gian: 1 giờ

260,992 lượt xem 20,071 lượt làm bài

Xem trước nội dung
Câu 1: 1 điểm
Đặt điện áp u= U 0 cos⁡(ωt) vào hai đầu đoạn mạch RLC mắc nối tiếp thì trong mạch có dòng điện i= I 0 cos⁡(ωt-φ). Công suất tiêu thụ của mạch này là
A.  
B.  
C.  
D.  
Câu 2: 1 điểm

Một chất điểm dao động điều hòa sẽ có tốc độ cực đại khi

A.  
lực kéo về tác dụng lên vật cực đại
B.  
lực kéo về tác dụng lên vật cực tiểu.
C.  
vật đi qua vị trí biên.
D.  
vật đi qua vị trí cân bằng.
Câu 3: 1 điểm
Sóng dừng hình thành trên một sợi dây đàn hồi hai đầu cố định, chiều dài l với một bó sóng. Bước sóng của sóng trên trên dây là A. λ=3l. B. λ=2l. C. λ=l/2. D. λ=3l/2.
A.  
λ=3l.
B.  
λ=2l.
C.  
λ=l/2.
D.  
λ = 3 l 2
Câu 4: 1 điểm
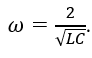
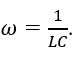
Đặt vào hai đầu một đoạn mạch điện xoay chiều RLC không phân nhánh một điện áp u= U 0 cos⁡(ωt) ( U 0 không đổi và ω thay đổi được) . Giá trị của ω để cường độ dòng điện hiệu dụng trong mạch cực đại là
A.  
B.  
C.  
D.  
Câu 5: 1 điểm

Nhận định nào sau đây sai khi nói về dao động cơ học tắt dần?

A.  
dao động tắt dần có động năng giảm dần còn thế năng biến thiên điều hòa.
B.  
trong dao động tắt dần cơ năng giảm dần theo thời gian.
C.  
dao động tắt dần là dao động có biên độ giảm dần theo thời gian.
D.  
lực ma sát càng lớn thì dao động tắt dần càng nhanh.
Câu 6: 1 điểm
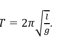
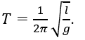
Chu kì dao động điều hòa của con lắc đơn chiều dài l tại nơi có gia tốc trọng trường g được xác định bằng biểu thức nào sau đây?
A.  
B.  
C.  
D.  
Câu 7: 1 điểm
Một vật tham gia đồng thời hai dao động điều hòa cùng phương, cùng tần số và vuông pha nhau. Tại thời điểm nào đó, các li độ thành phần là x 1 =3 cm và x 2 =-4 cm thì li độ dao động tổng hợp của vật bằng
A.  
7 cm.
B.  
-1 cm.
C.  
5 cm.
D.  
-7 cm.
Câu 8: 1 điểm
Đặt điện áp xoay chiều u= U 0 cos⁡(ωt) vào hai đầu một đoạn mạch điện xoay chiều không phân nhánh thì dòng điện trong mạch có cường độ i= I 0 cos⁡(ωt+π/2). Đoạn mạch này chứa
A.  
điện trở thuần.
B.  
cuộn cảm thuần.
C.  
tụ điện.
D.  
cuộn cảm không thuần.
Câu 9: 1 điểm
Một sóng cơ lan truyền trong một môi trường đồng chất, đẳng hướng với tần số 20 Hz. Tốc độ truyền sóng trong môi trường là 25 cm/s. Bước sóng là
A.  
0,8 cm.
B.  
5,0 m.
C.  
1,25 cm
D.  
5,0 cm.
Câu 10: 1 điểm

Tia hồng ngoại và tử ngoại đều

A.  
có tác dụng nhiệt giống nhau.
B.  
gây ra hiện tượng quang điện ở mọi chất.
C.  
có thể gây ra một số phản ứng hóa học
D.  
bị nước và thủy tinh hấp thụ mạnh.
Câu 11: 1 điểm

Dùng thuyết lượng tử ánh sáng không giải thích được

A.  
Nguyên tắc hoạt động của pin quang điện.
B.  
Hiện tượng quang – phát quang.
C.  
Hiện tượng giao thoa ánh sáng.
D.  
Hiện tượng quang điện ngoài.
Câu 12: 1 điểm

Trong sơ đồ khối của một máy phát thanh vô tuyến đơn giản không có bộ phận nào sau đây?

A.  
mạch tách sóng.
B.  
mạch phát sóng điện từ cao tần.
C.  
mạch khuếch đại.
D.  
mạch biến điệu.
Câu 13: 1 điểm
Theo thuyết lượng tử ánh sáng, ánh sáng có tần số f thì photon của ánh sáng này có năng lượng
A.  
hf
B.  
C.  
D.  
Câu 14: 1 điểm

Hạt nhân càng bền vững khi có

A.  
số nucleon càng nhỏ.
B.  
năng lượng liên kết càng lớn.
C.  
số nucleon càng lớn.
D.  
năng lượng liên kết riêng càng lớn.
Câu 15: 1 điểm

Trong một phản ứng hạt nhân thu năng lượng, tổng khối lượng của các hạt nhân tham gia phản ứng

A.  
giảm.
B.  
tăng.
C.  
được bảo toàn.
D.  
tăng hay giảm tùy thuộc vào phản ứng.
Câu 16: 1 điểm

Khác với sóng cơ, sóng điện từ có thể truyền được trong môi trường

A.  
chất rắn.
B.  
chất lỏng.
C.  
chất khí.
D.  
chân không.
Câu 17: 1 điểm
Một chất điểm dao động điều hòa với phương trình x=-5 cos⁡(ωt) cm, t được tính bằng giây. Pha ban đầu của dao động là
A.  
π
B.  
0
C.  
π 2
D.  
π 3
Câu 18: 1 điểm

Một hệ cô lập gồm ba điện tích điểm, có khối lượng không đáng kể, nằm cân bằng với nhau trong chân không. Tình huống nào dưới đây có thể xảy ra?

A.  
Ba điện tích cùng dấu, cùng nằm trên đỉnh của một tam giác đều.
B.  
Ba điện tích cùng dấu cùng nằm trên một đường thẳng.
C.  
Ba điện tích không cùng dấu nằm tại ba đỉnh của một tam giác đều.
D.  
Ba điện tích không cùng dấu nằm trên một đường thẳng.
Câu 19: 1 điểm

Hình vẽ nào sau đây xác định đúng chiều dòng điện cảm ứng khi cho nam châm dịch chuyển lại gần hoặc ra xa vòng dây kín?

Hình ảnh
A.  
A. Hình A.
B.  
B. Hình B.
C.  
C. Hình C.
D.  
D. Hình D.
Câu 20: 1 điểm
Mạch điện xoay chiều chỉ chứa điện trở thuần sẽ có hệ số công suất bằng
A.  
1,00
B.  
0,50.
C.  
0,71
D.  
0,86.
Câu 21: 1 điểm
Trong thí nghiệm Young về giao thoa sóng ánh sáng, bước sóng dùng trong thí nghiệm này là λ. Để một điểm trên màn quan sát cho vân sáng thì hiệu đường đi của tia sáng từ hai khe đến điểm quan sát phải thõa mãn
A.  
B.  
C.  
D.  
Câu 22: 1 điểm
Một máy biến áp lí tưởng đang có hệ số tăng áp là k=2. Nếu giữ nguyên số vòng dây ở sơ cấp, tăng số vòng dây ở thứ cấp lên gấp 5 lần thì chỉ số tăng áp lúc này là
A.  
k=2.
B.  
k=5.
C.  
k=10.
D.  
k=20.
Câu 23: 1 điểm

Hạt tải điện trong kim loại là

A.  
các electron tự do.
B.  
các ion.
C.  
các ion và electron.
D.  
lỗ trống và electron.
Câu 24: 1 điểm

Trong không khí, thấu kính lồi là thấu kính

A.  
phân kì.
B.  
hội tụ.
C.  
có thể hội tụ hoặc phân kì.
D.  
các đáp án trên đều sai.
Câu 25: 1 điểm
Một nguồn điểm O phát sóng âm có công suất không đổi trong một môi trường truyền âm đẳng hướng và không hấp thụ âm. Hai điểm A, B cách nguồn âm lần lượt là r 1 r 2 . Biết cường độ âm tại A gấp 4 lần cường độ âm tại B. Tỉ số r 2 r 1 bằng
A.  
4
B.  
1 2
C.  

C. 1 4

D.  
2
Câu 26: 1 điểm
Suất điện động cảm ứng xuất hiện trong khung dây dẫn phẳng dẹt kín hình tròn với phương trình e= E 0 cos⁡(ωt+π/6) V. Biết tốc độ quay của khung dây là 50 vòng/s. Góc hợp bởi vecto cảm ứng từ B và vecto pháp tuyến của mặt phẳng khung dây tại thời điểm t=0,02 s bằng
A.  
30 °
B.  
120 °
C.  
180 °
D.  
90 °
Câu 27: 1 điểm
Trong thí nghiệm Young về giao thoa ánh sáng, khoảng cách giữa hai khe là a=1 mm, khoảng cách từ hai khe đến màn là D=2,5 m. Nguồn S phát ra ánh sáng có bước sóng 480 nm khoảng vân giao thoa quan sát trên màn là
A.  
0,7 mm.
B.  
1,4 mm.
C.  
1,2 mm.
D.  
1,9mm.
Câu 28: 1 điểm
Chất Iot phóng xạ I 53 131 dùng trong y tế có chu kì bán rã là 8 ngày đêm. Nếu nhận được 100 g chất này thì sau 8 tuần lễ còn bao nhiêu?
A.  
0,87 g.
B.  
0,78 g.
C.  
7,8 g
D.  
8,7 g.
Câu 29: 1 điểm

Tính chất hạt của ánh sáng không thể hiện ở hiện tượng nào sau đây?

A.  
quang điện trong.
B.  
quang điện ngoài.
C.  
quang – phát quang.
D.  
nhiễu xạ.
Câu 30: 1 điểm
Một mạch truyền tải điện năng với công suất truyền đi không đổi P=100 MW và hiệu suất truyền tải là 90%. Hao phí trên mạch truyền tải này bằng
A.  
10 MW.
B.  
90 MW.
C.  
40 MW.
D.  
60 MW.
Câu 31: 1 điểm
Chiếu một tia sáng gồm hai bức xạ λ 1 λ 2 từ không khí tới mặt chất lỏng với góc tới i. Biết chiết suất của chất lỏng đối với các ánh sáng lần lượt là n 1 n 2 . Góc ∆r tạo bởi tia khúc xạ của hai bức xạ ở trong chất lỏng bằng
A.  
B.  
C.  
D.  
Câu 32: 1 điểm
Theo mẫu nguyên tử Bo về nguyên tử Hidro, coi electron chuyển động tròn đều xung quanh hạt nhân dưới tác dụng của lực tĩnh điện giữa electron và hạt nhân. Gọi v L v N lần lượt là tốc độ của electron khi nó chuyển động trên quỹ đạo L và N. Tỉ số v L v N bằng
A.  
2.
B.  
0,25
C.  
4.
D.  
0,5.
Câu 33: 1 điểm
Hạt nhân U 92 235 có năng lượng liên kết 1784 MeV. Năng lượng liên kết riêng của hạt nhân này là
A.  
12,48 MeV/nuclon
B.  
5,46 MeV/nuclon.
C.  
7,59 MeV/nuclon.
D.  
19,39 MeV/nuclon.
Câu 34: 1 điểm
Một sóng cơ lan truyền trên mặt nước với phương trình u=10 cos⁡(20πt- 2 πx 5 ) cm t được tính bằng giây. Tốc độ cực đại của một phần tử mặt nước khi có sóng truyền qua bằng
A.  
10 cm/s.
B.  
20π cm/s.
C.  
200π cm/s.
D.  
40π cm/s.
Câu 35: 1 điểm
Cho mạch da động điện từ lí tưởng gồm: tụ điện có điện dung C=4 mF, cuộn cảm thuần có độ tự cảm L=1 nF. Biết điện tích cực đại trên tụ trong quá trình dao động là Q 0 = 10 - 6 C, từ thông cực đại qua cuộn cảm bằng
A.  
1,5 nWb
B.  
0,5 nWb
C.  
1,0 nWb.
D.  
2,5 nWb.
Câu 36: 1 điểm
Một sợi dây đàn hồi OB căng ngang, hai đầu cố định đang có sóng dừng với tần số xác định. Hình vẽ mô tả dạng sợi dây ở thời điểm t 1 và dạng sợi dây ở thời điểm t 2 = t 1 + 2 3 s Biết rằng tại thời điểm t 1 , điểm M có gia tốc cực tiểu. Tốc độ truyền sóng trên dây có thể nhận giá trị nào sau đây?
A.  
30 cm/s.
B.  
35 cm/s.
C.  
40 cm/s.
D.  
50 cm/s.
Câu 37: 1 điểm

Để đo cảm kháng của một cuộn dây (có điện trở trong rất nhỏ), một học sinh mắc nối tiếp cuộn cảm này với một biến trở. Đặt vào hai đầu đoạn mạch trên một điện áp xoay chiều có tần số f=50 Hz. Thay đổi giá trị của R ta thu được đồ thị biểu diễn điện áp hiệu dụng ở hai đầu R theo R được cho như hình vẽ.

Hình ảnh

Cảm kháng của cuộn dây sử dụng trong bài thực hành này có giá trị trung bình là

A.  
0,11 H.
B.  
0,71 H.
C.  
1,01 H.
D.  
0,50 H.
Câu 38: 1 điểm

Dao động của con lắc lò xo treo thẳng đứng là tổng hợp của hai dao động điều hòa cùng phương. Chọn chiều dương hướng xuống. Hình bên là đồ thị biểu diễn sự thay đổi li độ dao động của hai vật theo thời gian. Biết độ lớn của lực đàn hồi tác dụng lên vật nặng của con lắc vào thời điểm t=0,4 s là 0,3 N. Lấy gia tốc trọng trường g=10 m/ s 2 . Cơ năng của con lắc bằng

Hình ảnh
A.  
12,2 mJ.
B.  
10,5 mJ.
C.  
9,4 mJ.
D.  
2,4 mJ.
Câu 39: 1 điểm
Hai điểm sáng M và N dao động điều hòa cùng biên độ trên trục Ox, tại thời điểm ban đầu hai chất điểm cùng đi qua vị trí cân bằng theo chiều dương. Chu kì dao động của M gấp 5 lần chu kì dao động của N. Khi hai chất điểm đi ngang nhau lần thứ nhất thì M đã đi được 10 cm. Quãng đường đi được của Ntrong khoảng thời gian đó là A. 25 cm. B. 50 cm. C. 40 cm. D. 30 cm.
A.  
25 cm.
B.  
50 cm.
C.  
40 cm.
D.  
30 cm.
Câu 40: 1 điểm
Trên mặt chất lỏng, có hai nguồn kết hợp S 1 S 2 cách nhau 15 cm, dao động theo phương thẳng đứng với phương trình là u S 1 = u S 2 =2 cos⁡(10πt-π/4) mm, t được tính bằng giây. Tốc độ truyền sóng trên mặt chất lỏng là 20 cm/s. Coi biên độ sóng không đổi khi truyền đi. Trên đường thẳng vuông góc với S_1 S_2 tại S_2 lấy điểm M sao cho M S 1 =25 cm và M S 2 =20 cm. Điểm A và B lần lượt nằm trong đoạn S 2 M với A gần S 2 nhất, B xa S 2 nhất, đều có tốc độ dao động cực đại bằng 12,57 mm/s. Khoảng cách AB là
A.  
14,71 cm.
B.  
6,69 cm
C.  
13,55 cm.
D.  
8,00 cm.