Đề thi Trắc nghiệm Trí tuệ Nhân tạo AI - HUBT có đáp án
Từ khoá: trắc nghiệm Trí tuệ Nhân tạo Đại học Kinh doanh và Công nghệ Hà Nội HUBT AI thuật toán AI ứng dụng AI ôn tập trí tuệ nhân tạo câu hỏi trắc nghiệm luyện thi công nghệ thông tin
Số câu hỏi: 206 câuSố mã đề: 6 đềThời gian: 1 giờ
Câu12: Áp dụng thuật giải tham lam (Greedy). Tìm đường đi ngắn nhất từ đỉnh 1 đi qua các đỉnh và trở lại đỉnh ban đầu, tổng chiều dài đường đi là ngắn nhất. Sau khi chọn được đỉnh kế tiếp của đỉnh 1 bạn chọn tiếp đỉnh ?

Áp dụng thuật giải tham lam (Greedy). Tìm đường đi ngắn nhất từ đỉnh 1 đi qua các đỉnh và trở lại đỉnh ban đầu, tổng chiều dài đường đi là ngắn nhất. Đỉnh kế tiếp bạn chọn để theo Greedy đi là:

Dùng thuật toán AKT để giải bài toán TACI như hình vẽ, tại bước cuối cùng giá trị g (độ dài đường đi) là?

Dùng thuật toán AKT để giải bài toán TACI như hình vẽ, tại bước cuối cùng giá trị hàm heuristics là?

Nhìn vào Hình 1 sử dụng thuật toán Quinlan cho biết phân hoạch lần 2: Vector đặc trưng VMàu theo thứ tự: (đỏ, vàng, tím) / (độc, không độ)

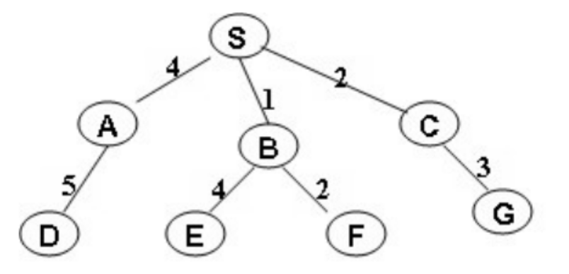
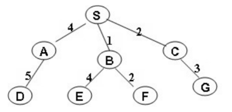
Dùng thuật giải AT tìm đường đi từ đỉnh S đến đích (Đỉnh ngọn bấy kỳ) với chi phí ngắn nhất, đường đi ngắn nhất là ?

Áp dụng thuật giải tham lam (Greedy). Tìm đường đi ngắn nhất từ đỉnh 1 đi qua các đỉnh và trở lại đỉnh ban đầu, tổng chiều dài đường đi là ngắn nhất. Chi phí (độ dài đường đi) theo Greedy là ?

Dựa vào Hình 1 sử dụng thuật toán Quinlan số vector đơn vị của thuộc tính vỏ phân hoạch lần 1 là:

Quá trình thăm các đỉnh của đồ thị sau bằng phương pháp BFS

Áp dụng thuật giải tham lam (Greedy). Tìm đường đi ngắn nhất từ đỉnh 1 đi qua các đỉnh và trở lại đỉnh ban đầu, tổng chiều dài đường đi là ngắn nhất. Chu trình bạn sẽ đi theo Greedy là ?

Dùng thuật toán AKT để giải bài toán TACI như hình vẽ, giá trị của hàm heuristic h’ là?

Dùng thuật giải GTS1 cho bài toán du lịch tất cả các thành phố bắt đầu từ thành phố A với ma trận chi phí như hình trên, sau khi đã chọn đỉnh B, căn cứ vào giá trị nào để chọn đi tiếp?

Dùng thuật giải AT tìm đường đi từ đỉnh S đến đích (Đỉnh ngọn bấy kỳ) với chi phí ngắn nhất, Chi phí nhỏ nhất là ?

Công thức số 3 biểu diễn luật?

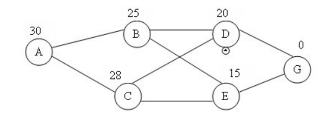
Áp dụng giải thuật A* tìm đường đi ngắn nhất từ A đến E, trạng thái nào được chọn làm trạng thái Tmax bắt đầu từ trạng thái A

6 mã đề 220 câu hỏi
3 mã đề 149 câu hỏi
2 mã đề 80 câu hỏi
2 mã đề 98 câu hỏi

