Trắc nghiệm tổng hợp ôn thi tốt nghiệp THPT môn Hóa Bài 6. Amino acid có đáp án
Từ khoá: Luyện thi tốt nghiệp THPT Hóa học Bài tập Amino acid Trắc nghiệm Chủ đề hợp chất Nitrogen Ôn tập kiến thức Câu hỏi có đáp án Hóa hữu cơ Luyện kỹ năng làm bài Chuẩn bị kỳ thi
Bộ sưu tập: 📘 Tuyển Tập Bộ Đề Thi Ôn Luyện THPT Quốc Gia Môn Hóa Học Các Trường (2018-2025) - Có Đáp Án Chi Tiết 🧪📘 Tuyển Tập Đề Thi Tham Khảo Các Môn THPT Quốc Gia 2025 🎯
Số câu hỏi: 33 câuSố mã đề: 1 đềThời gian: 1 giờ
333,077 lượt xem 25,616 lượt làm bài
Cho các hợp chất có công thức cấu tạo dưới đây:
Những hợp chất nào trong số các chất trên thuộc loại -amino acid?
Cho các amino acid có công thức cấu tạo sau:
Tên gọi nào dưới đây không đúng với một trong các chất trên?
Cho các amino acid có tên là glycine, alanine, valine và glutamic acid. Công thức cấu tạo nào dưới đây không đúng với một trong số các chất trên?
Cho các chất có công thức cấu tạo sau:
(1)
(2)
(3)
(4)
Dung dịch chất nào sau đây không làm đổi màu quỳ tím?
Cho các chất có công thức cấu tạo sau:
(1)
(2)
(3)
(4)
(5)
(6)
Những chất vừa phản ứng được với acid vừa phản ứng được với base là
Trong dung dịch, amino acid X tồn tại ở dạng ion lưỡng cực (hình bên).
Đặt dung dịch X trong một điện trường. Khi đó, chất X
Lysine (Lys) có công thức cấu tạo như hình bên. Thêm dung dịch acid HCl (dư) vào ống nghiệm đựng dung dịch Lys, sau đó đặt ống nghiệm vào trong điện trường. Khi đó, Lys
Trong mỗi ý a, b, c, d ở mỗi câu, hãy chọn đúng hoặc sai.
Tyrosine (Tyr) là một amino acid tham gia vào việc sản xuất adrenaline và noradrenaline là các hormone giúp cơ thể chống lại tình huống căng thẳng bằng cách tạo ra năng lượng. Công thức cấu tạo của phân tử tyrosine như hình bên.
a. Tyr là một -amino acid.
b. Phân tử Tyr có nhóm chức phenol.
c. Tyr tác dụng được với dung dịch NaOH.
d. Tyr không thể hiện tính lưỡng cực như các amino acid khác.
Mỗi phát biểu sau đây là đúng hay sai?
a. Các amino acid có nhiệt độ nóng chảy cao và tan tốt trong nước.
b. Ở điều kiện thường, các amino acid là những chất rắn.
c. Hầu hết các amino acid thiên nhiên thuộc loại -amino acid.
d. Alanine là -amino acid.
a. Các amino acid vừa tác dụng được với acid, vừa tác dụng được với base.
b. Dung dịch của các amino acid đều làm đổi màu quỳ tím.
c. Khi tác dụng với alcohol, amino acid sẽ tạo ester.
d. Các amino acid là hợp chất hữu cơ tạp chức.
Cho các chất có công thức cấu tạo như sau:
Có bao nhiêu chất trong số các chất trên không phải là -amino acid?
Cho các chất có công thức cấu tạo như sau:
Có bao nhiêu chất trong số các chất trên không phải là amino acid có trong thiên nhiên/ trong cơ thể sinh vật?
Cho các chất: alanine (1), aminoacetic acid (2), methylamine (3), aniline (4), glutamic acid (5). Có bao nhiêu chất tan tốt trong nước ở điều kiện thường?
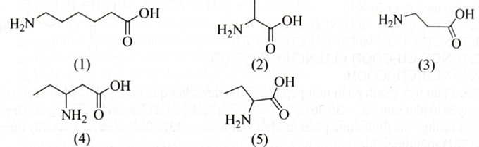
Cho các chất có công thức cấu tạo như sau:
(1), (2), (3), (4), (5).
Có bao nhiêu chất vừa phản ứng được với acid, vừa phản ứng được với base?
1 mã đề 30 câu hỏi
1 mã đề 59 câu hỏi
1 mã đề 57 câu hỏi

