Ôn thi Tốt nghiệp THPT môn Sinh học (Đề 8)
Từ khoá: biology_practicegraduation_examgrade_12full_exam
Bộ sưu tập: 📘 Tuyển Tập Bộ Đề Thi Ôn Luyện THPT Quốc Gia Môn Sinh Học Các Trường (2018-2025) - Có Đáp Án Chi Tiết 🧬📘 Tuyển Tập Đề Thi Tham Khảo Các Môn THPT Quốc Gia 2025 🎯
Số câu hỏi: 40 câuSố mã đề: 1 đềThời gian: 1 giờ
236,225 lượt xem 18,157 lượt làm bài
Động vật nào sau đây có con cái mang cặp NST giới tính là XY?
Theo lí thuyết, phép lai nào dưới đây cho đời con có 50% kiểu gen đồng hợp tử trội?
Trùng roi (Trichomonas) sống trong ruột mối tiết enzim phân giải xenlulôzơ trong thức ăn của mối thành đường để nuôi sống cả hai. Đây là ví dụ về mối quan hệ
Cho chuỗi thức ăn: Cây ngô → Sâu ăn lá ngô → Nhái → Rắn hổ mang → Diều hâu. Trong chuỗi thức ăn này, loài nào thuộc bậc dinh dưỡng cấp cao nhất?
Để xác định tính trạng nào đó do gen trong nhân hay do gen trong tế bào chất quy định thì người ta dùng phép lai nào sau đây?
Xét 2 cặp gen phân li độc lập, alen A quy định thân cao trội hoàn toàn so với alen a quy định thân thấp, alen B quy định hoa đỏ trội hoàn toàn so với alen b quy định hoa trắng. Cho biết sự biểu hiện của gen không phụ thuộc vào môi trường, cây có kiểu gen aaBB có kiểu hình
Động vật nào sau đây có dạ dày đơn?
Loại axit nuclêic nào sau đây không tham gia trực tiếp vào quá trình dịch mã?
Quần thể nào dưới đây có thành phần kiểu gen cân bằng di truyền?
Nhân tố tiến hóa chỉ làm thay đổi thành phần kiểu gen mà không làm thay đổi tần số alen của quần thể là
Trong tự nhiên, thực vật nào sau đây mở khí khổng vào ban đêm và đóng khí khổng vào ban ngày?
Trong cơ chế điều hòa hoạt động của opêron Lac của vi khuẩn E.coli, đường lactôzơ liên kết và làm biến đổi cấu hình không gian của prôtêin nào sau đây?
Loại đột biến điểm làm giảm một liên kết hiđrô của gen là đột biến
Trong quá trình nhân đôi ADN, enzim nào sau đây có vai trò tổng hợp mạch ADN mới?
Châu chấu sống ở môi trường
Bằng chứng tiến hóa nào sau đây là bằng chứng sinh học phân tử?
Sự kết hợp giữa giao tử (n – 1) và giao tử (n) tạo thành hợp tử. Theo lí thuyết, hợp tử này phát triển thành thể đột biến nào sau đây?
Phát biểu nào dưới đây sai khi nói về vai trò của đột biến với tiến hoá?
Sản phẩm nào sau đây không phải là của công nghệ gen?
Một loài thực vật, xét hai cặp gen cùng nằm trên một cặp nhiễm sắc thể thường và liên kết hoàn toàn. Cho cây dị hợp hai cặp gen lai với cây dị hợp một cặp gen, thu được F1. Theo lí thuyết, phát biểu nào dưới đây đúng khi nói về F1?
Khi nói về chuỗi và lưới thức ăn, phát biểu nào sau đây là đúng?
Có 3 quần thể thỏ sống ở 3 môi trường có khu phân bố ổn định; không có di cư và nhập cư. Diện tích môi trường phân bố và mật độ của 3 quần thể như sau:
| Quần thể | A | B | C |
| Diện tích môi trường (ha) | 111 | 308 | 219 |
| Mật độ (cá thể/ha) | 325 | 189 | 321 |
Trình tự sắp xếp nào phản ánh kích thước giảm dần của 3 quần thể?
Nuôi cấy các hạt phấn của cây có kiểu gen AaBb trong ống nghiệm, sau đó xử lí bằng hóa chất cônsixin để lưỡng bội hóa. Theo lí thuyết, có thể tạo ra dòng tế bào lưỡng bội có kiểu gen
Hình vẽ dưới đây mô tả quá trình chuyển hoá nitơ trong đất.
Có bao nhiêu nhận định sau đây đúng khi nói về chuyển hóa nitơ trong đất?
I. Rễ cây hấp thụ nitơ ở những dạng
và
.
II. Tên của nhóm sinh vật ở vị trí (5) là vi khuẩn amôn hoá.
III. Hoạt động của nhóm sinh vật (11) giúp cải tạo đất trồng.
IV. Nhóm sinh vật ở vị trí (4) giúp chuyển hoá nitơ hữu cơ trong xác sinh vật thành nitơ khoáng cho cây sử dụng.
Hình vẽ dưới đây mô tả cơ chế phát sinh một dạng đột biến cấu trúc nhiễm sắc thể. Phát biểu nào dưới đây đúng khi nói về dạng đột biến đó?
Hai loài thực vật có quan hệ họ hàng gần gũi kí hiệu là loài A và loài B. Bộ NST của loài A là 2n = 16, của loài B là 2n = 14. Các cây lai giữa loài A và loài B được đa bội hóa tạo ra loài mới. Theo lí thuyết loài mới có kí hiệu bộ nhiễm sắc thể là
Khi cho cây có kiểu gen AB/ab tự thụ phấn. Cho biết mỗi gen quy định một tính trạng, tính trạng trội là trội hoàn toàn, khoảng cách giữa A và B là 20cM, trong quá trình giảm phân đã xảy ra hoán vị gen ở cả hai giới. Theo lí thuyết, ở F1 cây có kiểu hình mang một tính trạng trội chiếm tỉ lệ
Một người khi được đo huyết áp, kết quả thu được 140/90mm Hg. Kết luận nào sau đây đúng?
Nhận định nào sau đây không đúng khi nói về quá trình hình thành loài?
Giả sử năng lượng đồng hóa của các sinh vật dị dưỡng trong 1 chuỗi thức ăn khởi đầu bằng sinh vật sản xuất như sau: Sinh vật tiêu thụ bậc 1: 275.105 kcal; sinh vật tiêu thụ bậc 2: 28.105 kcal; sinh vật tiêu thụ bậc 3: 21.104 kcal; sinh vật tiêu thụ bậc 4: 165.102 kcal; sinh vật tiêu thụ bậc 5: 1490 kcal. Xét trong các sinh vật tiêu thụ của chuỗi thức ăn, tỉ lệ thất thoát năng lượng cao nhất là giữa bậc dinh dưỡng cấp
Một loài thực vật, chiều cao cây dao động từ 100 cm đến 180 cm. Khi cho cây cao 100 cm lai với cây có chiều cao 180 cm được F1. Cho 2 cây F1 giao phấn với nhau, thống kê các kiểu hình thu được ở F2, kết quả được biểu diễn ở biểu đồ bên.
Tính trạng chiều cao của loài thực vật này di truyền theo quy luật
Ở một loài thú, một cơ thể đực có kiểu gen . Nếu có 2 tế bào sinh tinh của cơ thể trên tiến hành giảm phân bình thường tạo tinh trùng. Biết rằng các gen liên kết hoàn toàn và không có đột biến mới phát sinh. Theo lí thuyết, có thể tạo được tối đa bao nhiêu loại tinh trùng?
Cho hai cây có kiểu gen dị hợp hai cặp gen lai với nhau thu được đời con F1 có tỉ lệ kiểu hình 1 : 2 : 1. Biết mỗi gen quy định một tính trạng, alen trội là trội hoàn toàn. Theo lí thuyết, có bao nhiêu phát biểu sau đây đúng?
I. Bố, mẹ có thể có kiểu gen giống nhau hoặc khác nhau.
II. Các gen có thể liên kết hoàn toàn.
III. Hoán vị gen có thể chỉ xảy ra ở một giới.
IV. F1 có thể có tối đa 9 loại kiểu gen.
Theo quan điểm tiến hóa hiện đại, có bao nhiêu phát biểu sau đây đúng?
I. Đột biến gen cung cấp nguyên liệu sơ cấp cho tiến hóa.
II. Áp lực của chọn lọc tự nhiên càng lớn thì tốc độ hình thành quần thể thích nghi càng nhanh.
III. Lai xa và đa bội hóa là con đường hình thành loài phổ biến ở động vật.
IV. Thể song nhị bội cách li sinh sản với các loài gốc.
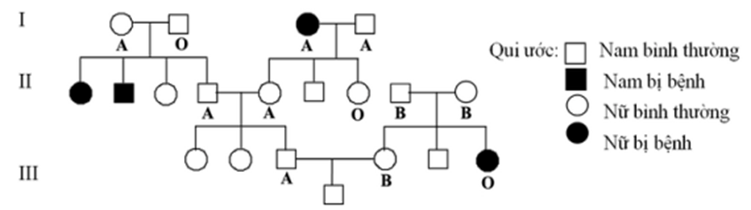
Phả hệ dưới đây mô tả sự di truyền của một bệnh ở người do một trong hai alen của một gen quy định. Một gen khác gồm 3 alen quy định nhóm máu ABO nằm ở một nhóm gen liên kết khác. Biết rằng không xảy ra đột biến mới ở tất cả các cá thể trong phả hệ.
Xác suất để đứa con trai do cặp vợ chồng ở thế hệ III sinh ra không mang gen bệnh và có kiểu gen dị hợp về nhóm máu là bao nhiêu?
Nghiên cứu ổ sinh thái về số lượng và kích thước thức ăn trong môi trường của 4 loài sinh vật, ta có các đồ thị trong hình dưới. Phân tích đồ thị và cho biết có bao nhiêu nhận định dưới đây đúng?
I. Kích thước thức ăn tăng dần từ loài 1 đến loài 4.
II. Loài 3 và loài 4 có mức độ cạnh tranh gay gắt nhất.
III. Loài 3 là loài có sự cạnh tranh với nhiều loài nhất trên sơ đồ.
IV. Nếu các loài trên cùng nguồn gốc thì loài 1 và 3 đã tiến hóa phân li.
Một quần thể thực vật tự thụ phấn, alen A quy định thân cao trội hoàn toàn so với alen a quy định thân thấp; alen B quy định hoa đỏ trội hoàn toàn so với alen b quy định hoa trắng. Hai cặp gen này phân li độc lập. Thế hệ xuất phát (P) của một quần thể có 40% số cây thân cao, hoa đỏ thuần chủng; 40% số cây thân cao, hoa đỏ dị hợp 2 cặp gen; 20% số cây thân thấp, hoa trắng. Theo lí thuyết, trong số cây thân cao, hoa đỏ ở F2 số cây thuần chủng chiếm
Alen đột biến lặn a không tổng hợp được enzim A dẫn tới phêninalanin không được chuyển hóa gây bệnh PKU. Alen đột biến lặn b không tổng hợp được enzim B dẫn tới dẫn tới tirôzin không được chuyển hóa. Mêlanin không được tổng hợp sẽ gây bệnh bạch tạng có triệu chứng nặng; mêlanin được tổng hợp ít sẽ gây bệnh bạch tạng có triệu chứng nhẹ hơn. Gen mã hóa 2 enzim A và B nằm trên 2 cặp nhiễm sắc thể khác nhau. Tirôzin có thể được thu nhận trực tiếp một lượng nhỏ từ thức ăn.
Khi nói về hai bệnh trên, những nhận xét dưới đây có bao nhiêu nhận xét đúng?
I. Kiểu gen của người bị bệnh bạch tạng có thể có hoặc không có alen A.
II. Những người mắc đồng thời cả 2 bệnh có thể có tối đa 3 loại kiểu gen.
III. Người có kiểu gen aaBB và người có kiểu gen aabb đều biểu hiện bệnh PKU.
IV. Người bị bệnh PKU có thể điều chỉnh mức biểu hiện của bệnh thông qua chế độ ăn.
Alen B1 ở vùng nhân của sinh vật nhân sơ bị đột biến điểm thành alen B2. Theo lí thuyết, có bao nhiêu phát biểu sau đây đúng?
I. Mạch khuôn của alen B1 và alen B2 có thể có số lượng nuclêôtit bằng hoặc hơn kém nhau hai nuclêôtit.
II. Nếu prôtêin do alen B2 quy định có chức năng thay đổi so với prôtêin do alen B1 quy định thì cá thể mang alen B2 có thể gọi là thể đột biến.
III. Chuỗi pôlipeptit do alen B1 và chuỗi pôlipeptit do alen B2 quy định tổng hợp có thể hoàn toàn giống nhau về số lượng, thành phần và trật tự axit amin.
IV. Phân tử prôtêin do alen B2 quy định tổng hợp có thể mất chức năng.
1 mã đề 28 câu hỏi
5 mã đề 100 câu hỏi
1 mã đề 6 câu hỏi
1 mã đề 25 câu hỏi
1 mã đề 28 câu hỏi

