Đề thi thử Đánh giá năng lực trường ĐHQG Hồ Chí Minh năm 2024 có đáp án (Đề 23)
Đánh giá năng lực;ĐHQG Hồ Chí Minh
Bộ sưu tập: Tuyển tập bộ đề thi Đánh giá năng lực (ĐGNL) ĐHQG Hồ Chí Minh mới nhất
Số câu hỏi: 120 câuSố mã đề: 1 đềThời gian: 1 giờ
160,622 lượt xem 12,327 lượt làm bài
PHẦN 1: NGÔN NGỮ
1.1. TIẾNG VIỆT
Chọn từ đúng để điền vào chỗ trống: “Một mặt …….. bằng mười mặt …….”
A. người/ của. B. của/ người. C. trời/ trăng. D. biển/ sông.
Đoạt sóc Chương Dương độ
Cầm Hồ Hàm Tử quan
Thái bình tu chí lực
Vạn cổ thử giang san.
(Tụng giá hoàn kinh sư – Trần Quang Khải)
Bài thơ được viết theo thể thơ nào?
Quốc tộ như đằng lạc,
Nam thiên lí thái bình.
Vô vi cư điện các,
Xứ xứ tức đao binh.
(Quốc tộ, Pháp Thuận)
Bài thơ trên thuộc dòng thơ:
Trong các câu sau:
I. Cần cọ sát thực tiễn khi đào tạo nghề luật sư.
II. Trong ba ngày (từ 28-30/9), mưa kéo dài đã gây ngập úng nhiều nơi thuộc thị xã Thuận An và TP. Thủ Dầu Một, Bình Dương.
III. Gặp mặt 26 tri thức trẻ làm phó chủ tịch các xã nghèo biên giới.
IV. Kết quả là một chuyện, nhưng rõ ràng đội tuyển Việt Nam đang để lộ quá nhiều điểm yếu không dễ khắc phục trong thời gian ngắn.
Những câu nào mắc lỗi:
Một anh đi thả ống lươn, một buổi sáng tinh sương, đã thấy hắn trần truồng và xám ngắt trong một váy đụp để bên cái lò gạch bỏ không, anh ta rước lấy và đem cho một người đàn bà góa mù. Người đàn bà góa mù này bán hắn cho một bác phó cối không con, và khi bác phó cối này chết thì hắn bơ vơ, hết đi ở cho nhà này lại đi ở cho nhà nọ. Năm hai mươi tuổi, hắn làm canh điền cho ông lí Kiến, bây giờ là cụ bá Kiến, ăn tiên chỉ làng. Hình như có mấy lần bà ba nhà ông lí còn trẻ lắm mà lại cứ hay ốm lửng bắt hắn bóp chân, hay xoa bụng, đấm lưng gì đấy. Người ta bảo ông lí ra đình thì hách dịch, cả làng phải sợ, mà về nhà thì lại sợ cái bà ba còn trẻ này. Người bà ấy phốp pháp, má bà ấy hây hây, mà ông lí thì hay đau lưng lắm; những người có bệnh đau lưng hay sợ vợ mà chúa đời là khỏe ghen. Có người bảo ông lí ghen với anh canh điền khỏe mạnh mà sợ bà ba không dám nói. Có người thì bảo anh canh điền ấy được bà ba quyền thu quyền bổ trong nhà tin cẩn nên lấy trộm tiền trộm thóc nhiều. Mỗi người nói một phách, chẳng biết đâu mà lần. Chỉ biết có một hôm Chí bị người ta giải huyện rồi nghe đâu phải đi tù.
(Chí Phèo – Nam Cao)
1.2. TIẾNG ANH
World BBQ
To some people, there is nothing more appetizing than the smell of meat sizzling over an open fire. Throughout the world, people love to eat barbecue because it lets them together with friends and family to enjoy a meal that brings them back to their caveman roots. Cooking over coals or an open flame makes people feel more sociable.
Most countries have barbecue traditions, and they usually take place on national holidays. In the United States, it is a tradition to have a barbecue of hamburgers and hot dogs on July 4, which is Independence Day. In Taiwan, people get together to eat barbecue during the Moon Festival, and the smell of burning coal is in the air all day.
In South America, and in Argentina in particular, barbecue is a way of life. All sorts of meats and sausages are put on a large grill together over hot coals. Barbecue is even considered the national dish in Argentina, and it is given the name asado in Portuguese. This means not only the dish, but also the social event that surrounds an Argentinian barbecue.
When a person speaks about Turkish and Middle Eastern barbecue, the kebab immediately comes to mind. The tradition of taking different meats, and sometimes vegetables as well, and spearing them with a sharp stick called a skewer has crossed cultural lines today. Practically anywhere in the English speaking world, the thought of shish-kebab will make barbecue lovers' mouths water.
Wherever you go in the world, you are almost certain to come across a local method of preparing barbecue. If you visit different places, be bold and try whatever the local specialities are.
(Source: https://www.coursehero.com/file/p2rap2fd/)
Choose an option (A, B, C, or D) that best answers each question.
và
.
.
.
.
là
Phát biểu mệnh đề
bằng hai cách và và xét tính đúng sai của nó.
P: “Tứ giác
là hình thoi” và Q: “Tứ giác
là hình bình hành có hai đường chéo vuông góc với nhau”.
Ta có mệnh đề
đúng và được phát biểu bằng hai cách như sau:
+ “Tứ giác
là hình thoi khi tứ giác
là hình bình hành có hai đường chéo vuông góc với nhau”.
+ “Tứ giác
là hình thoi nếu tứ giác
là hình bình hành có hai đường chéo vuông góc với nhau”.
Ta có mệnh đề
đúng và được phát biểu bằng hai cách như sau:
+ “Tứ giác
là hình thoi khi và chỉ khi tứ giác
là hình bình hành có hai đường chéo vuông góc với nhau”.
+ “Tứ giác
là hình thoi nếu và chỉ nếu tứ giác
là hình bình hành có hai đường chéo vuông góc với nhau”.
Ta có mệnh đề
sai và được phát biểu bằng hai cách như sau:
+ “Tứ giác
là hình thoi khi tứ giác
là hình bình hành có hai đường chéo vuông góc với nhau”.
+ “Tứ giác
là hình thoi nếu tứ giác
là hình bình hành có hai đường chéo vuông góc với nhau”.
Ta có mệnh đề
sai và được phát biểu bằng hai cách như sau:
+ “Tứ giác
là hình thoi khi và chỉ khi tứ giác
là hình bình hành có hai đường chéo vuông góc với nhau”.
+ “Tứ giác
là hình thoi nếu và chỉ nếu tứ giác
là hình bình hành có hai đường chéo vuông góc với nhau”.
Ba cô gái là Mùi, Tâm, Lan nói chuyện về tuổi của họ như sau:
+ Tâm: Tôi 22 tuổi. Tôi ít hơn Lan 2 tuổi và nhiều hơn Mùi 1 tuổi.
+ Lan: Tôi không trẻ nhất. Tôi và Mùi chênh nhau 3 tuổi. Mùi 25 tuổi.
+ Mùi: Tôi trẻ hơn Tâm. Tâm 23 tuổi. Lan nhiều hơn Tâm 3 tuổi.
Thực ra mỗi cô gái chỉ nói đúng 2 ý, còn 1 ý sai.
Gia đình Hoa có 5 người: ông nội, bố, mẹ, Hoa và em Kiên. Sáng chủ nhật cả nhà đi xem xiếc nhưng chỉ mua được 2 vé. Mọi người trong gia đình đề xuất 5 ý kiến:
1. Hoa và Kiên đi.
2. Bố và mẹ đi.
3. Ông và bố đi.
4. Mẹ và Kiên đi.
5. Kiên và bố đi.
Cuối cùng mọi người đồng ý với ý kiến của Hoa vì theo đề nghị đó thì mỗi đề nghị của 4 người còn lại trong gia đình đều được thỏa mãn 1 phần. Bạn hãy cho biết ai đã được đi xem xiếc.
Ba cặp vợ chồng trẻ tổ chức bữa cơm tối thân mật. Khi bữa tiệc đã trở nên vui nhộn, nói về tuổi tác của nhau, họ có những nhận xét như sau:
(1) An: Người chồng nào cũng hơn vợ mình 5 tuổi.
(2) Lan: Tôi xin tiết lộ điều bí mật: Tôi là cô vợ trẻ nhất ở đây đấy.
(3) Tuấn: Tuổi tôi và Nguyệt cộng lại là 52.
(4) Minh: Tuổi của cả 6 chúng tôi cộng lại là 151.
(5) Nguyệt: Tuổi tôi và Minh cộng lại là 48.
Cô chủ nhà Thu Hương không tham gia câu chuyện vì còn bận với những món tiếp thêm. Tuy vậy, chỉ qua những nhận xét trên ta cũng có thể xác định được tuổi của từng người, hơn nữa còn biết ai là vợ, là chồng của ai.

Dưới đây là biểu đồ về số vụ án và số bị can mới khởi tố tính đến 30/06/2019 của tỉnh Bắc Giang.

Cho biểu đồ: Lý do mua và sử dụng nhãn hàng riêng của người tiêu dùng.


Cho các phát biểu sau:
(a) Các phức chất mang điện tích như
thường tan tốt trong nước.
(b) Trong phức chất, phối tử góp chung electron chưa liên kết vào orbital với nguyên tử trung tâm tạo liên kết.
c) Các phức không mang điện tích (phức chất trung hòa) như
thường ít tan trong nước.
(d) Phức chất có dạng hình học phổ biến là tứ diện, vuông phẳng và bát diện.
Số phát biểu không đúng là
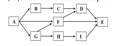
Giả sử lưới thức ăn sau đây gồm các loài sinh vật được kí hiệu: A, B, C, D, E, F, G, H, I.

Cho biết loài A là sinh vật sản xuất và loài E là sinh vật tiêu thụ bậc cao nhất. Có bao nhiêu phát biểu sau đây đúng?
I. Lưới thức ăn này có tối đa 5 chuỗi thức ăn.
II. Có 2 loài tham gia vào tất cả các chuỗi thức ăn.
III. Loài D có thể thuộc bậc dinh dưỡng cấp 3 hoặc cấp 4.
IV. Loài F tham gia vào nhiều chuỗi thức ăn hơn loài G.
"Mặt trời xuống biển như hòn lửa
Sóng đã cài then, đêm sập cửa
Đoàn thuyền đánh cá lại ra khơi"
Đoàn thuyền đánh cá - Huy Cận
Đoàn thuyền đánh cá ra khơi vào ban đêm để tận dụng loại gió nào?
Mức tối đa cho phép của
trong không khí là
Phương pháp chuẩn độ điện lượng được dùng để đánh giá sự ô nhiễm không khí của nhà máy. Phương pháp được tiến hành như sau:
Bước 1: iodine được điều chế bằng cách điện phân dung dịch KI trong khoảng thời gian 2 phút bằng dòng điện 2mA. Sau đó cho
khí thải lội từ từ qua dung dịch điện phân làm cho iodine hoàn toàn mất màu.
Bước 2: Thêm hồ tinh bột vào và lại tiếp tục điện phân thêm 35 giây nữa với cùng cường độ dòng thì dung dịch bắt đầu xuất hiện màu xanh.
Biết hiệu suất dòng là
, các phản ứng xảy ra như sau:
+ phương trình điện phân: ![]()
+ phương trình chuẩn độ: ![]()
Một bình điện phân chứa dung dịch
và một bình điện phân khác chứa dung dịch
ở
. Khi tăng hiệu điện thế từ từ ở hai cực mỗi bình người ta thấy có khí giống nhau thoát ra ở cả hai bình tại cùng điện thế.
Sơ đồ của máy lọc bụi được trình bày bên hình dưới đây. Không khí có nhiều bụi, được hút vào máy qua lớp lọc bụi thông thường. Tại đây, các hạt bụi có kích thước lớn bị gạt lại. Dòng không khí có lẫn các hạt bụi có kích thước nhỏ vẫn bay lên. Hai lưới 1 và 2 thực chất là 2 điện cực: lưới 1 là điện cực dương, lưới 2 là điện cực âm. Khi bay qua lưới 1, các hạt bụi nhiễm điện dương. Do đó khi gặp lưới 2 nhiễm điện âm, các hạt bụi bị hút vào lưới. Vì vậy qua lưới 2 không khí đã được lọc sạch bụi. Sau đó có thể cho không khí đi qua lớp lọc bằng thanh để khử mùi. Bằng cách này có thể lọc đến 95% bụi trong không khí

Màn hình ngày càng phổ biến trong các thiết bị điện tử, đặc biệt là laptop và điện thoại di động, nó là thành phần khá quan trọng. CRT (viết tắt của cathode-ray tube) sử dụng màn huỳnh quang và ống phóng tia cathode tác động vào các điểm ảnh để tạo sự phản xạ ánh sáng.
CRT thể hiện màu trung thực, sắc nét, tốc độ phản ứng cao, phù hợp với game thủ và các chuyên gia thiết kế, xử lí đồ họa. Tuy vậy, nó cồng kềnh, chiếm nhiều diện tích và tiêu tốn điện năng hơn các loại màn hình khác.
Theo quy luật phân li độc lập của Menđen, các gen nằm trên các NST khác nhau sẽ phân li độc lập nhau, do đó các tổ hợp gen mới luôn được hình thành trong quá trình sinh sản hữu tính. Chính vì vậy, từ lâu các nhà chọn giống đã tạo ra các dòng thuần chủng khác nhau, sau đó lai giống và chọn lọc ra những tổ hợp gen mong muốn. Những cá thể có tổ hợp gen mong muốn sẽ được cho tự thụ phấn hoặc giao phối gần để tạo ra các giống thuần chủng.
Cho biết các công đoạn được tiến hành trong chọn giống như sau:
I. Chọn lọc ra những tổ hợp gen mong muốn
II. Tạo ra các dòng thuần chủng có kiểu gen khác nhau
III. Lai các dòng thuần chủng khác nhau
IV. Cho tự thụ phấn hoặc giao phối cận huyết
Quy trình tạo giống được thực hiện theo trình tự đúng là
Sự độc đáo của vaccine Sputnik V
Sputnik V là vaccine phòng Covid-19 được phát triển dựa trên công nghệ vector virus bởi Viện Nghiên cứu Quốc gia về Dịch tễ học và Vi sinh Gamalaya (Viện Gamalaya) - một đơn vị nghiên cứu y sinh lâu đời và có truyền thống của Nga.
Công nghệ sản xuất vaccine Sputnik V được đánh giá là an toàn và có cơ chế hoạt động vector virus. Nghĩa là vaccine sử dụng một phiên bản sửa đổi của virus (không có khả năng sao chép, khiến nó trở thành virus lành tính) để chuyển vật chất di truyền vào tế bào người. Sau đó, vector virus được thêm gen sinh prôtêin gai của virus SARS-CoV-2 vào và trở thành vaccine. Khi cơ thể người được tiêm vaccine, vector virus này sẽ xâm nhập vào tế bào và khiến nó tạo ra một prôtêin đột biến. Ngay sau khi hệ thống miễn dịch nhận thấy prôtêin này, nó bắt đầu sản xuất kháng thể và kích hoạt các phản ứng khác trong cơ thể. Nhờ đó khi gặp phải virus SARS-CoV-2 thì cơ thể đã có kháng thể để tiêu diệt virus này.
So sánh giữa vaccine Sputnik V với các vaccine vector virus khác:

Theo đại diện lãnh đạo Bộ Công Thương, giá trị sản xuất của Ngành sản xuất chế biến thực phẩm chiếm tỷ trọng 19,1% trong nhóm ngành công nghiệp chế biến, chế tạo của Việt Nam. Đây là ngành chiếm tỷ trọng cao nhất trong các ngành công nghiệp chế biến, chế tạo, thể hiện tầm quan trọng của Ngành trong việc đảm bảo nhu cầu lương thực của người dân cũng như đáp ứng yêu cầu xuất khẩu. Ngoài ra, tỷ trọng giá trị sản xuất cao cho thấy ngành sản xuất, chế biến thực phẩm có nhiều thế mạnh với nhiều thương hiệu lớn, có uy tín, thị trường ổn định và có khả năng cạnh tranh cao so với các doanh nghiệp nước ngoài và còn nhiều dư địa cho sự phát triển.
Đặc biệt, sau khi các Hiệp định thương mại tự do mà Việt Nam ký kết đi vào hiệu lực, ngành sản xuất chế biến thực phẩm sẽ được mở ra một thị trường tiêu dùng và đầu tư rộng lớn hơn. Số lượng doanh nghiệp hoạt động trong ngành sản xuất chế biến thực phẩm không nhiều (chiếm gần 01% tổng số doanh nghiệp cả nước) nhưng đây lại là một trong những ngành công nghiệp mũi nhọn, có tiềm năng phát triển rất lớn tại Việt Nam, chiếm khoảng hơn 20% doanh thu thuần sản xuất, kinh doanh các ngành công nghiệp chế biến, chế tạo hàng năm.
Nguồn: https://tphcm.dangcongsan.vn/doi-moi-nang-dong-sang-tao/nganhche-bien-thuc-pham-la-mot-trong-bon-nganh-cong-nghiep-trong-diem-uutien-phat-trien-cua-tp-601595.html
Lượng phù sa thượng nguồn xuống ĐBSCL giảm rō rệt từ năm 1993 - khi đập thuỷ điện đầu tiên của Mekong - Mạn Loan - được xây dựng trên dòng thác Lan Thương (Trung Quốc). Trong tương lai, 4.350 km dọc dòng Mekong sē có hơn 400 đập thuỷ điện hoạt động, và giữ lại hầu hết phù sa ở thượng nguồn. Cùng với đó, diễn biến sạt lở ở ĐBSCL cũng bắt đầu gia tăng rō rệt, từ dưới 100 điểm sạt lở (trước năm 2012) lên đến khoảng 600 như hiện nay. Xói lở bờ sông, kênh, rạch tập trung ở các tỉnh đầu nguồn như An Giang, Đồng Tháp và các khu vực chuyển tiếp giữa vùng chịu ảnh hưởng của triều và thượng nguồn như Cần Thơ, Tiền Giang, Vĩnh Long, đến ven biển như Cà Mau, Sóc Trăng. "ĐBSCL đang chảy máu đất nhanh hơn nhiều so với các vùng châu thổ khác trên thế giới", ông Marc Goichot, Trưởng Chương trình Nước ngọt của Tổ chức Quốc tế về Bảo tồn Thiên nhiên (WWF) tại khu vực châu Á Thái Bình Dương, cảnh báo.
Đồng bằng mất đất sē kéo theo loạt hệ quả như mất nước ngọt, năng suất nông nghiệp giảm, cơ sở hạ tầng sụp đổ, và theo đó là sinh kế của 17 triệu người gặp rủi ro.
NGÀY VIỆT NAM GIA NHẬP LIÊN HỢP QUỐC
"Trong phiên họp ngày 20-9-1977, lúc 18 giờ 30 phút, Chủ tịch khóa họp 32 của Đại hội đồng Liên hợp quốc, Thứ trưởng Ngoại giao Nam Tư Lada Môixốp trịnh trọng nói: "Tôi tuyên bố nước Cộng hòa xã hội chủ nghĩa Việt Nam được công nhận là thành viên của Liên hợp quốc".
Cả phòng họp lớn của Đại hội đồng vổ tay nhiệt liệt hoan nghênh Việt Nam, thành viên thứ 149 của Liên hợp quốc.
Sáng ngày 21-9, tại trụ sở Liên hợp quốc đã trọng thể diễn ra lễ kéo cờ đỏ sao vàng của Cộng hòa xã hội chủ nghĩa Việt Nam.
Trong buổi lễ kéo cờ Việt Nam tại trụ sở Liên hợp quốc, Tổng thư kí Cuốc Vanhai phát biểu: "Ngày 20-9-1977, ngày mà Đại hội đồng Liên hợp quốc thông qua Nghị quyết kết nạp nước Cộng hòa xã hội chủ nghĩa Việt Nam là ngày có ý nghĩa trọng đại không những đối với nhân Việt Nam mà còn đối với cả Liên hợp quốc. Sau cuộc chiến đấu lâu dài và gian khổ giành độc lập, tự do, nhân dân Việt Nam sē tham gia vào những cố gắng của Liên hợp quốc nhằm thiết lập hòa bình và công lí trên toàn thế giới". Ông nhấn mạnh: "Liên hợp quốc sē làm hết sức mình để giúp Việt Nam về mọi mặt trong việc hàn gắn vết thương chiến tranh và xây dựng lại đất nước".
Trong lời phát biểu tại Đại hội đồng Liên hợp quốc, Bộ trưởng Ngoại giao Nguyễn Duy Trinh nói: "Mấy chục năm qua, tuy chưa tham gia Liên hợp quốc, nước Việt Nam, bằng xương máu, đã góp phần xứng đáng vào cuộc đấu tranh chung của nhân dân thế giới vì hòa bình, độc lập dân tộc, dân chủ và tiến bộ xã hội.
Nước Cộng hòa xã hội chủ nghĩa Việt Nam sē hợp tác chặt chē với các thành viên khác của Liên hợp quốc phấn đấu không mỏi mệt nhằm thực hiện các mục tiêu cao cả đó".
(Nguồn: Nguyễn Quốc Hùng, Liên hợp quốc, NXB. Thông tin lí luận, H., 1992, tr.54-57)
"Sau thất bại của chiến lược "Chiến tranh đặc biệt", Mĩ đẩy mạnh chiến tranh xâm lược, chuyển sang chiến lược "Chiến tranh cục bộ" ở miền Nam và mở rộng chiến tranh phá hoại miền Bắc.
"Chiến tranh cục bộ" bắt đầu từ giữa năm 1965, là loại hình chiến tranh xâm lược thực dân mới, được tiến hành bằng lực lượng quân Mĩ, quân một số nước đồng minh của Mĩ và quân đội Sài Gòn. Quân số lúc cao nhất (năm 1969) lên gần 1,5 triệu tên, trong đó quân Mĩ chiếm hơn nửa triệu.
Với chiến lược "Chiến tranh cục bộ", Mĩ âm mưu nhanh chóng tạo ra ưu thế về binh lực và hoả lực có thể áp đảo quân chủ lực của ta bằng chiến lược quân sự mới "tìm diệt", cố giành lại thế chủ động trên chiến trường, đẩy lực lượng vũ trang của ta trở về phòng ngự, buộc ta phải phân tán nhỏ, hoặc rút về biên giới, làm cho chiến tranh tàn lụi dần.
Dựa vào ưu thế quân sự với quân số đông, vũ khí hiện đại, quân Mĩ vừa mới vào miền Nam đã mở ngay cuộc hành quân "tìm diệt" vào căn cứ của Quân giải phóng Vạn Tường (Quảng Ngãi). Tiếp đó, Mĩ mở liên tiếp hai cuộc phản công chiến lược mùa khô (đông-xuân 1965-1966 và 1966-1967) bằng hàng loạt cuộc hành quân "tìm diệt" và "bình định" vào vùng "đất thánh Việt cộng".
Nhân dân ta chiến đấu chống chiến lược "Chiến tranh cục bộ" của Mĩ bằng sức mạnh của cả dân tộc, của tiền tuyến và hậu phương, với ý chí quyết chiến quyết thắng giặc Mĩ xâm lược, mở đầu là các thắng lợi ở Núi Thành (Quảng Nam), Vạn Tường (Quảng Ngãi).
Sau trận Vạn Tường, khả năng đánh thắng quân Mĩ trong cuộc chiến đấu chống chiến lược "Chiến tranh cục bộ" của quân dân ta tiếp tục được thể hiện trong hai mùa khô.
Bước vào mùa khô thứ nhất (đông-xuân 1965-1966) với 72 vạn quân (trong đó có hơn 22 vạn quân Mĩ và đồng minh), địch mở đợt phản công với 450 cuộc hành quân, trong đó có 5 cuộc hành quân "tìm diệt" lớn nhằm vào hai hướng chiến lược chính là Đông Nam Bộ và Liên khu V với mục tiêu đánh bại chủ lực Quân giải phóng.
Quân dân ta trong thể trận chiến tranh nhân dân, với nhiều phương thức tác chiến đã chặn đánh địch trên mọi hướng, tiến công địch khắp mọi nơi.
Bước vào mùa khô thứ hai (đông-xuân 1966-1967) với lực lượng được tăng cường lên hơn 98 vạn quân (trong đó quân Mĩ và quân đồng minh chiếm hơn 44 vạn), Mĩ mở cuộc phản công với 895 cuộc hành quân, trong đó có ba cuộc hành quân lớn "tìm diệt", "bình định"; lớn nhất là cuộc hành quân Gianxơn Xiti đánh vào căn cứ Dương Minh Châu (Bắc Tây Ninh), nhằm tiêu diệt quân chủ lực và cơ quan đầu não của ta.
ở hầu khắp các vùng nông thôn, quần chúng được sự Hỗ trợ của lực lượng vũ trang đã đứng lên đấu tranh chống ách kìm kẹp của địch, phá từng mảng "ấp chiến lược". Trong hầu khắp các thành thị, công nhân, các tầng lớp lao động khác, học sinh, sinh viên, Phật tử, một số binh sĩ quân đội Sài Gòn... đấu tranh đòi Mĩ rút về nước, đòi tự do dân chủ. Vùng giải phóng được mở rộng, uy tín của Mặt trận Dân tộc giải phóng miền Nam Việt Nam được nâng cao trên trường quốc tế".
(Nguồn: SGK Lịch sử 12, trang 173-175)

.