Bài tập Nguyên hàm, tích phân cơ bản, nâng cao cực hay có lời giải chi tiết
Lớp 12;Toán
Số câu hỏi: 206 câuSố mã đề: 7 đềThời gian: 1 giờ
152,103 lượt xem 11,686 lượt làm bài
Tính diện tích hình phẳng giới hạn bởi đồ thị hai hàm số và




Cho f(x) liên tục trên thỏa mãn , khi đó giá trị của là:
Cho f(x) là hàm số chẵn và liên tục trên thỏa mãn . Khi đó giá trị của tích phân là:
Cho tích phân . Xác định 3a+b biết
Biết rằng là một nguyên hàm của hàm số f(x). Hỏi đa thức là gì của hàm số f(x) ?


Một ô tô đang chạy đều với vận tốc a (m/s) thì người lái đạp phanh. Từ thời điểm đó, ô tô chuyển động chậm dần đều với vận tốc (m/s), trong đó t là thời gian tính bằng giây, kể từ lúc bắt đầu đạp phanh. Hỏi từ lúc đạp phanh đến khi dừng hẳn, ô tô đi được 32 mét thì vận tốc a ban đầu bằng bao nhiêu?

Cho số thực dương a, kí hiệu H là hình phẳng giới hạn bởi đồ thị hàm số , trục hoành và trục tung. Gọi V là thể tích của khối tròn xoay tạo thành khi quay H quanh trục hoành, tìm a biết .

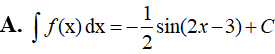
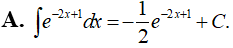
Nguyên hàm của hàm số là:

Tích phân có giá trị bằng:


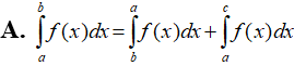
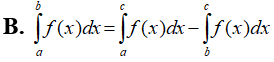
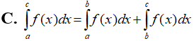
Giả sử f(x) là hàm liên tục trên R và các số thực a < b < c. Mệnh đề nào sau đây sai?




Có bao nhiêu số sao cho ?
Diện tích hình phẳng giới hạn bởi đồ thị hàm số , trục tung, trục hoành và đường thẳng x=1 là:
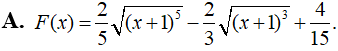
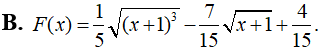
F(x) là một nguyên hàm của hàm số , biết F(0)=1. Tìm F(x).

Một ô tô đang chạy đều với vận tốc 15m/s thì phía trước xuất hiện chướng ngại vật nên người lái đạp phanh gấp. Kể từ thời điểm đó, ô tô chuyển động chậm dần đều với gia tốc am/s2. Biết ôtô chuyển động được thêm 30m thì dừng hẳn. Hỏi a thuộc khoảng nào dưới đây?


Họ nguyên hàm F(x) của hàm số với là:



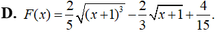
Tìm một nguyên hàm F(x) của hàm số thỏa mãn đồ thị của F(x), f(x) cắt nhau tại một điểm thuộc trục tung.




Nếu thì n bằng:
Tính tích phân với a>1, .




Hàm số nào sau đây có đạo hàm là
Diện tích hình phẳng giới hạn bởi đường cong (a>0), trục hoành và đường thẳng x=a bằng . Tính giá trị của tham số k.




Cho hình phẳng (H) giới hạn bởi các đường , trục hoành, đường thẳng . Tính diện tích hình phẳng (H).



Tìm a để diện tích hình phẳng giới hạn bởi đường cong đường thẳng x=1 đường thẳng x=a (a>1) bằng 3.
Nếu thì m bằng:

Cho hình phẳng (H) nằm hoàn toàn trong góc phần tư thứ (IV), được giới hạn bởi các đường , trục hoành, trục tung. Thể tích V hình tròn xoay sinh bởi (H) khi quay (H) quanh trục Ox.



Biết . Khi đó:

Nguyên hàm của hàm số là


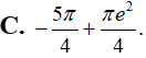
Biết hàm số f(x) có đạo hàm f'(x) liên tục trên và f(1)= , Tính f(ln2).

Cho F(x) là một nguyên hàm của hàm số .Tìm F(x) biết F(0)=0.



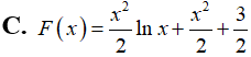
Diện tích hình phẳng giới hạn bởi đồ thị hàm số y=f(x) liên tục trên , trục hoành và hai đường thẳng x=a, x=b được tính theo công thức nào sau đây?




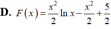
Tìm một nguyên hàm F(x) của hàm số y=f(x)=xlnx, (x>0) biết rằng F(1)=2.




10 mã đề 238 câu hỏi
9 mã đề 224 câu hỏi
1 mã đề 22 câu hỏi

