100 câu trắc nghiệm Đường thẳng - Mặt phẳng trong không gian cơ bản
Ôn tập Toán 11 Chương 2 Hình học
Lớp 11;Toán
Số câu hỏi: 100 câuSố mã đề: 4 đềThời gian: 1 giờ
149,487 lượt xem 11,478 lượt làm bài
Tính chất nào sau đây không phải của hình chóp cụt:
Phát biểu nào sau đây đúng:
Hình nào sau đây là có thể là hình biểu diễn của hình hộp chữ nhật trong không gian:



Tìm mệnh đề Sai trong các mệnh đề sau đây:
Tìm mệnh đề Đúng trong các mệnh đề sau:
Cho hai đường thẳng chéo nhau a và b lần lượt nằm trên hai mặt phẳng song song (P) và (Q). Hỏi nếu điểm M không nằm trên (P) và không nằm trên (Q) thì có bao nhiêu đường thẳng đi qua M cắt cả a và b.
Trong mặt phẳng (P) cho hình bình hành ABCD. Qua A, B, C, D lần lượt vẽ 4 đường thẳng a, b, c, d đôi một song song với nhau và không nằm trên (P). Một mặt phẳng cắt a, b, c, d lần lượt tại 4 điểm A’, B’, C’, D’. Tứ giác A’B’C’D’ là hình gì?
Cho hình lăng trụ tam giác ABC.A’B’C’. Gọi I, J lần lượt là trọng tâm của các tam giác ABC và A’B’C’ . Thiết diện tạo bởi mặt phẳng (AIJ) với hình lăng trụ đã cho là:
Cho tứ diện đều S.ABC cạnh bằng a. Gọi I là trung điểm AB, M là một điểm di động trên đoạn AI. Qua M vẽ mặt phẳng ( ) song song với (SIC). Thiết diện tạo bởi ( ) và tứ diện SABC là
Cho tứ diện ABCD. Gọi M, N lần lượt là trung điểm của các cạnh AD và BC; G là trọng tâm BCD. Khi đó giao điểm của đường thẳng MG và mp(ABC) là:
Cho tứ diện ABCD và 3 điểm E, F, G lần lượt nằm trên 3 cạnh AB, BC, CD mà không trùng với các đỉnh, thiết diện của hình tứ diện ABCD khi cắt bởi mp(EFG) là:
Cho tứ diện ABCD và 3 điểm I, J, K lần lượt nằm trên 3 cạnh AC, BC, CD mà không trùng với các đỉnh. Thiết diện của hình tứ diện ABCD khi cắt bởi mặt phẳng (IJK) là:
Cho hình chóp SABCD có đáy là một hình bình hành. Gọi A’, B’, C’, D’ lần lượt là trung điểm của các cạnh SA, SB, SC, SD. Tìm mệnh đề đúng trong các mệnh đề sau:
Cho hình tứ diện ABCD và ba điểm P, Q, R lần lượt lấy trên ba cạnh AB, CD, BC. Cho PR // AC và CQ = QD. Gọi giao điểm của AD và (PQR) là S. Chọn khẳng định đúng
Trong các mệnh đề sau, mệnh đề nào Đúng?
Trong các mệnh đề sau, mệnh đề nào Đúng?
Cho hình hộp ABCD.A’B’C’D’. Gọi O, O’ lần lượt là tâm của hai mặt ADD’A’ và BCC’B’. Tìm giao tuyến của hai mặt (ABC’D’) và (A’B’CD)?
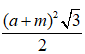
Cho tứ diện đều ABCD có cạnh bằng a,điểm M trên cạnh AB sao cho AM=m(0<m<a). Khi đó diện tích thiết diện của hình tứ diện cắt bởi mp qua M và song song với mp(ACD) là:

Cho hình chóp S.ABCD có đáy là hình bình hành. Gọi I,J lần lượt là trung điểm của AB và BC. Khi đó giao tuyến của hai mặt phẳng (SAB) và (SCD) là đường thẳng song song với:
Trong bốn cách biểu diễn hình tứ diện dưới đây, hãy chọn phát biểu đúng?

Cho tứ diện ABCD và ba điểm P,Q,R lần lượt nằm trên cạnh AB, CD, BC; biết PR//AC. Xác định giao tuyến của hai mặt phẳng (PQR) và (ACD) là:
Cho hình chóp S.ABCD. Một mặt phẳng không đi qua đỉnh nào của hình chóp cắt các cạnh SA,SB,SC,SD lần lượt tại A’,B’,C’,D’. Gọi O là giao điểm của AC và BD. Tìm mệnh đề đúng trong các mệnh đề sau:
Cho hình bình hành ABCD nằm trong mặt phẳng (P) và một điểm S nằm ngoài mặt phẳng (P). Gọi M là điểm nằm giữa S và A; N là điểm nằm giữa S và B; giao điểm của hai đường thẳng AC và BD là O; giao điểm của hai đường thẳng CM và SO là I; giao điểm của hai đường thẳng NI và SD là J. Xác định giao tuyến của hai mặt phẳng (SAD) và (CMN) là:
Cho tứ diện ABCD và ba điểm P,Q,R lần lượt nằm trên cạnh AB, CD, BC; biết PR cắt AC tại I. Xác định giao tuyến của hai mặt phẳng (PQR) và (ACD) là:
Cho hình vuông ABCD và tam giác đều SAB nằm trong hai mặt phẳng khác nhau. Gọi M là điểm di động trên đoạn AB. Qua M vẽ mp(P) // mp(SBC). Thiết diện tạo bởi mp (P) và hình chóp S.ABCD là hình gì?
4 mã đề 67 câu hỏi
1 mã đề 115 câu hỏi
6 mã đề 106 câu hỏi
2 mã đề 100 câu hỏi
4 mã đề 100 câu hỏi

