(2023) Đề thi thử Vật lý THPT Hậu Lộc 4, Thanh Hóa (Lần 1) có đáp án
Từ khoá: Đề thi thử Hóa học 2023 Hậu Lộc 4 Thanh Hóa Lần 1 Đáp án chi tiết Luyện thi Ôn tập Tốt nghiệp Học sinh
Bộ sưu tập: 📘 Tuyển Tập Bộ Đề Thi Ôn Luyện THPT Quốc Gia Môn Vật Lý Các Tỉnh (2018-2025) - Có Đáp Án Chi Tiết 📘 Tuyển Tập Đề Thi Tham Khảo Các Môn THPT Quốc Gia 2025 🎯
Số câu hỏi: 40 câuSố mã đề: 1 đềThời gian: 1 giờ
349,489 lượt xem 26,879 lượt làm bài
Đặt điện áp
vào hai đầu đoạn mạch gồm điện trở thuần R, cuộn cảm thuần L và tụ điện C mắc nối tiếp. Hệ số công suất của đoạn mạch là




Tìm phát biểu sai khi nói về động cơ điện xoay chiều 3 pha
Vận tốc truyền sóng là




Suất điện động của một nguồn điện một chiều là 4V. Công của lực lạ làm di chuyển một điện lượng 8mC giữa hai cực bên trong nguồn điện là
Vật dao động tắt dần có
Dòng điện xoay chiều có cường độ
chạy qua một đoạn mạch điện. Số lần dòng điện này đổi chiều trong 1s là
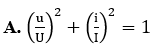
Đặt điện áp xoay chiều vào hai đầu đoạn mạch chỉ có tụ điện. Gọi U là điện áp hiệu dụng giữa hai đầu mạch;i,I và I lần lượt là giá trị tức thời, giá trị cực đại và giá trị hiệu dụng của cường độ dòng điện trong đoạn mạch. Hệ thức nào sau đây sai?




Một con lắc lò xo gồm một vật nhỏ khối lượng m và lò xo có độ cứng k. Con lắc dao động điều hòa với tần số góc là




Độ cao là một đặc tính sinh lí của âm phụ thuộc vào
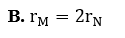
Hai điểm M và N gần dây dẫn thẳng dài mang dòng điện, cách dây dẫn lần lượt là . Độ lớn cảm ứng từ do dòng điện gây ra tại M lớn hơn cảm ứng từ tại
4 N lần. Kết luận nào sau đây đúng?




Đặt điện áp
vào hai đầu cuộn dây thuần cảm L thì cường độ dòng điện qua cuộn cảm có biểu thức
. Giá trị của là




Dòng điện xoay chiều có cường độ
. Tần số góc của dòng điện này là



Một vật thực hiện đồng thời hai dao động điều hòa cùng phương, cùng tần số, có biên độ lần lượt là 8cm và 6cm. Biên độ dao động tổng hợp không thể nhận giá trị nào trong các giá trị sau đây
Trong hiện tượng giao thoa sóng của hai nguồn kết hợp đồng pha, những điểm trong môi trường truyền sóng là cực đại giao thoa khi hiệu khoảng cách từ điểm đó tới hai nguồn là d1, d2 thỏa mãn: (với )




Một máy biến áp có số vòng dây của cuộn sơ cấp nhỏ hơn số vòng dây của cuộn thứ cấp. Máy biến áp này có tác dụng
Một con lắc đơn đang dao động điều hòa. Khi giảm khối lượng vật nặng của con lắc đơn đi một nửa thì chu kì dao động của con lắc sẽ
Một vật tham gia động thời hai dao động điều hòa cùng phương với các phương trình:
và
. Với k là các số nguyên, biên độ dao động tổng hợp của vật đại cực đại khi




Khi có sóng dừng trên một sợi dây đàn hồi, khoảng cách giữa hai nút sóng liên tiếp bằng
Đặt điện áp
không đổi, U0 thay đổi) vào hai đầu đoạn mạch mắc nối tiếp gồm điện trở R, cuộn cảm thầm L và tụ điện C. Khi thì trong đoạn mạch có cộng hưởng điện. Tần số góc là




Trên một sợi dây với hai đầu cố định, khi điều chỉnh tần số sóng trên dây thì thấy với hai tần số và đều gây ra hiện tượng sóng dừng và số nút sóng trên dây trong hai trường hợp lần lượt là 3 và 5 nút (kể cả 2 đầu dây). Kết luận nào sau đây đúng?




Sóng cơ truyền trên bề mặt chất lỏng thành những đường tròn đồng tâm ngày càng mở rộng với bước sóng . Hiệu bán kính hai gợn sóng tròn lồi thứ nhất và thứ 5 tính từ tâm phát sóng bằng
Một vật có khối lượng m, dao động điều hòa với phương trình x= Acos . Mốc thế năng ở vị trí cân bằng, động năng cực đại của vật này bằng




Phương trình li độ của vật dao động được cho bởi
vận tốc cực đại của vật là




Cho đoạn mạch gồm điện trở thuần R, cuộn dây thuần cảm L và tụ điện C mắc nối tiếp như hình vẽ. Nếu đặt điện áp xoay chiều
vào hai điểm A,B thì thấy cường độ dòng điện qua mạch sớm pha rad so với điện áp trong mạch. Nếu đặt điện áp đó vào hai điểm A, B thì thấy cường độ dòng điện trễ pha rad so với điện áp hai đầu đoạn mạch. Tỉ số giữa dung kháng của tụ điện và cảm kháng của cuộn dây có giá trị là
Trên mặt nước có hai nguồn sóng kết hợp A và B cách nhau 21,5 cm dao động cùng tần số f =25Hz, cùng pha, tốc độ truyền sóng v= 40 cm/s. Điểm dao động với biên độ cực tiểu trên đoạn AB có vị trí cân bằng cách
một khoảng nhỏ nhất bằng
Một chất điểm dao động điều hòa dọc theo trục Ox xung quanh vị trí cân bằng của nó. Đường biểu diễn sự phụ thuộc li độ x, vận tốc v, lực hồi phục Fhp theo thời gian t cho ở hình vẽ. Đồ thị x(t) , v(t)và Fhp theo thứ tự là các đường
Một con lắc lò xo gồm vật nặng có khối lượng m=100g, lò xo có độ cứng k =40 N/m. Tác dụng vào vật một lực tuần hoàn biên độ F0 và tần số f1 = 4 Hz thì biên độ dao động ổn định của hệ là A1. Nếu giữ nguyên biên độ F0 nhưng tăng tần số đến giá trị f2 =5 Hz thì biên độ dao động ổn định của hệ là A2. Chọn phương án đúng?




Vật sáng AB đặt vuông góc với trục chính của một thấu kính mỏng và cách thấu kính 16cm. Ảnh của vật tạo bởi thấu kính cùng chiều với vật và cao bằng một nửa vật. Tiêu cự của thấu kính là
Đặt vào hai đầu cuộn sơ cấp của máy biến áp lí tưởng điện áp xoay chiều có giá trị hiệu dụng không đổi. Nếu quấn thêm vào cuộn thứ cấp 100 vòng thì điện áp hiệu dụng hai đầu cuộn thứ cấp để hở thay đổi 20% so với lúc đầu. Số vòng dây ban đầu ở cuộn thứ cấp là
Trên sợi dây căng ngang, hai đầu cố định có sóng dừng với tần số dao động là 10 Hz. Biên độ của điểm bụng là 2cm. Trên một bó sóng, khoảng cách giữa hai điểm có cùng biên độ 1cm là 6cm. Tốc độ truyền sóng trên dây là




Một con lắc đơn có chiều dài dây treo bằng thực hiện dao động điều hòa tại một nơi trên trái đất. Trong khoảng thời gian nó thực hiện 12 dao động. Khi thay đổi chiều dài của nó một đoạn 32cm, trong cùng khoảng thời gian như trên, con lắc thực hiện 20 dao động. Chiều dài ban đầu của con lắc là
Một khung dây phẳng gồm 100 vòng quay đều quanh trục trong một từ trường đều có véc tơ cảm ứng từ vuông góc với trục quay. Biết tốc độ quay của khung là 150 vòng/phút. Từ thông cực đại gửi qua mỗi vòng dây của khung là Wb. Suất điện động hiệu dụng trong khung có giá trị là
Đặt vào hai đầu đoạn mạch xoay chiều RLC nối tiếp (cuộn dây thuần cảm) một điện áp xoay chiều có tần số và điện áp hiệu dụng U không đổi. Biết điện áp hiệu dụng giữa hai đầu các phần tử L và C là UL ,UC có mối liên hệ U=UC = 2UL. Hệ số công suất của mạch điện là


Để khảo sát mức cường độ âm của một số chiếc kèn đồng giống nhau người ta tiến hành đặt một máy đo mức cường độ âm cách các chiếc kèn đồng một khoảng không đổi. Đồ thị biểu diễn mức cường độ âm mà máy đo được theo số chiếc kèn đồng được biểu diễn như hình vẽ. Môi trường đẳng hướng không hấp thụ âm. Xem âm phát ra từ các chiếc kèn đồng là nguồn âm điểm. Biết . Giá trị của L3 bằng
Trong thí nghiệm giao thoa sóng ở mặt nước, hai nguồn kết hợp đặt tại hai điểm A và B, dao động cùng pha theo phương thẳng đứng. Trên đoạn AB quan sát được 13 cực đại giao thoa. Ở mặt nước, đường tròn (C) có tâm O thuộc trung trực AB và bán kính a không đổi (2a
Một con lắc lò xo đặt trên mặt phẳng nằm ngang gồm lò xo nhẹ có độ cứng 1N/m, một đầu cố định, đầu còn lại gắn vật nhỏ m1. Vật m1 nối với vật
bằng một sợi dây nhẹ không dãn. Ban đầu kéo vật m2 theo phương trùng với trục của lò xo để lò xo dãn 10cm rồi thả nhẹ thì hai vật chuyển động không ma sát theo phương trùng với trục của lò xo. Khi vật m1 đi được quãng đường (10+ ) thì hai vật va chạm với nhau lần thứ nhất. Coi va chạm hoàn toàn đàn hồi xuyên tâm và sợi dây khi chùng không ảnh hưởng tới chuyển động của các vật. Lấy . Khoảng thời gian sợi dây bị chùng trong một chu kì là Cho mạch AB gồm các phần tử R, L (thuần cảm có độ tự cảm L thay đổi được) và C nối tiếp. Đặt vào hai đầu đoạn mạch một điện áp xoay chiều
trong đó
không đổi. Cho L thay đổi và vẽ đồ thị sự phụ thuộc của điện áp hiệu dụng hai đầu cuộn cảm UL và tổng trở của mạch Z vào hệ số tự cảm L ta được các đồ thị như hình vẽ. Giá trị U0 là
Một con lắc lò xo treo thẳng đứng vào điểm J tại nơi có gia tốc rơi tự do 10 (m/s2 ). Khi vật dao động điều hòa thì lực nén cực đại lên điểm treo J là 2N còn lực kéo cực đại lên điểm treo J là 6 N. Gia tốc cực đại của vật dao động là




Đặt điện áp
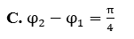
(U không đổi) vào hai đầu đoạn mạch AB mắc nối tiếp theo đúng thứ tự gồm đoạn AM chứa tụ điện C, đoạn MN chứa cuộn cảm có độ tự cảm L1 có điện trở r và đoạn NB chứa cuộn cảm thuần có độ tự cảm L2. Hệ số công suất trên đoạn AB bằng hệ số công suất trên đoạn MN và bằng k. Điện áp trên MB sớm pha hơn điện áp trên AN là và
. Giá trị của
xấp sỉ bằng
1 mã đề 40 câu hỏi
1 mã đề 40 câu hỏi
1 mã đề 40 câu hỏi
1 mã đề 40 câu hỏi

