(2023) Đề thi thử Vật lý THPT Vị Thanh, Hậu Giang (Lần 1) có đáp án
Từ khoá: Đề thi thử Vật lý 2023 Vị Thanh Hậu Giang Lần 1 Đáp án chi tiết Luyện thi Ôn tập Tốt nghiệp Học sinh
Bộ sưu tập: 📘 Tuyển Tập Bộ Đề Thi Ôn Luyện THPT Quốc Gia Môn Vật Lý Các Tỉnh (2018-2025) - Có Đáp Án Chi Tiết 📘 Tuyển Tập Đề Thi Tham Khảo Các Môn THPT Quốc Gia 2025 🎯
Số câu hỏi: 40 câuSố mã đề: 1 đềThời gian: 1 giờ
348,240 lượt xem 26,783 lượt làm bài
Ở Việt Nam, mạng điện dân dụng một pha có điện áp hiệu dụng là
Biết I0 là cường độ âm chuẩn. Tại điểm có cường độ âm thì mức cường độ âm là




Một vật dao động tắt dần có các đại lượng nào sau đây giảm liên tục theo thời gian?
Khi sóng âm truyền từ môi trường không khí vào môi trường nước thì
Một sợi dây căng ngang đang có sóng dừng. Sóng truyền trên dây có bước sóng . Khoảng cách giữa hai nút liên tiếp là?
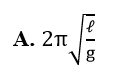
Tại nơi có gia tốc trọng trường g, một con lắc đơn có sợi dây dài l đang dao động điều hòa. Tần số dao động của con lắc là




Một chất điểm dao động có phương trình
( x tính bằng cm, t tính bằng s). Chất điểm này dao động với tần số góc là




Hai dao động điều hòa, cùng phương, cùng tần số, cùng pha, có biên độ lần lượt là A1 ,A2. Biên độ dao động tổng hợp của hai dao động này là




Đặt điện áp xoay chiều
vào hai đầu cuộn cảm thuần có độ tự cảm
. Công thức tính cảm kháng của cuộn cảm này là?




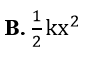
Một con lắc lò xo gồm vật nhỏ và lò xo nhẹ có độ cứng k, đang dao động điều hòa. Mốc thế năng tại vị trí cân bằng. Biểu thức thế năng của con lắc ở li độ x là




Máy biến áp là thiết bị
Đặt điện áp xoay chiều vào hai đầu đoạn mạch chỉ có điện trở thì
Đặt điện áp xoay chiều vào hai đầu đoạn mạch gồm điện trở R, cuộn cảm thuần và tụ điện mắc nối tiếp. Biết cuộn cảm có cảm kháng ZL và tụ điện có dung kháng ZC. Công thức tính tổng trở của đoạn mạch là?




Đoạn mạch điện xoay chiều không phân nhánh gồm cuộn dây có độ tự cảm L, điện trở thuần R và tụ điện có điện dung C. Khi dòng điện có tần số góc chạy qua đoạn mạch thì hệ số công suất của đoạn mạch này.
Giao thoa ở mặt nước với hai nguồn sóng kết hợp đặt tại A và B dao động điều hòa cùng pha theo phương thẳng đứng. Sóng truyền ở mặt nước có bước sóng . Cực tiểu giao thoa nằm tại những điểm có hiệu đường đi của hai sóng từ hai nguồn tới đó bằng




Một vật nhỏ dao động điều hòa theo phương trình ( t tính bằng s). Xác định pha dao động của vật tại t = 2s.
Một con lắc lò xo có độ cứng 10N/m dao động điều hòa với chu kỳ 0,1s. Lấy
. Tính khối lượng vật nhỏ của con lắc
Đặt điện áp
vào hai đầu đoạn mạch chỉ có tụ điện thì cường độ dòng điện trong mạch là
. Giá trị của là?




Dao động của một vật là tổng hợp của hai dao động cùng phương có phương trình lần lượt là và . Biên độ dao động của vật là
Trên một sợi dây đàn hồi đang có sóng dừng. Biết khoảng cách ngắn nhất giữa một nút sóng và vị trí cân bằng của một bụng sóng là 0,25m. Sóng truyền trên dây với bước sóng là
Tại một nơi trên mặt đất, một con lắc đơn dao động điều hòa với chu kì 1,2s. Nếu chiều dài con lắc tăng lên 4 lần thì chu kì của dao động điều hòa của con lắc lúc này là bao nhiêu?
Một sóng cơ có chu kì 2s truyền với tốc độ 1m/s. Khoảng cách giữa hai điểm gần nhau nhất trên một phương truyền mà tại đó các phần tử môi trường dao động ngược pha nhau là
Một vật nhỏ dao động điều hòa dọc theo trục Ox (vị trí cân bằng ở O) với biên độ 4cm và tần số 10Hz. Tại thời điểm t = 0, vật có li độ 4cm. Phương trình dao động của vật là




Một đoạn mạch điện xoay chiều gồm điện trở thuần R mắc nối tiếp với một cuộn cảm thuần có cảm kháng với giá trị bằng R. Tính độ lệch pha của điện áp giữa hai đầu đoạn mạch với cường độ dòng điện trong mạch




Trong thí nghiệm giao thoa sóng trên mặt nước, hai nguồn kết hợp đặt tại hai điểm A và B dao động cùng pha theo phương thẳng đứng. Sóng truyền trên mặt nước có bước sóng là 4cm. Trên đoạn thẳng AB, khoảng cách giữa hai cực đại giao thoa liên tiếp là
Trên một sợi dây dài đang có sóng ngang hình sin truyền qua theo chiều dương của trục Ox. Tại thời điểm , một đoạn của sợi dây có hình dạng như hình bên. Hai phần tử dây tại M và Q dao động lệch pha nhau một góc bao nhiêu?
Cường độ dòng điện tức thời chạy qua một đoạn mạch điện xoay chiều là ,t đo bằng giây. Tại thời điểm t1 nào đó dòng điện đang giảm và có cường độ bằng i2 = -2A. Hỏi đến thời điểm
cường độ dòng điện bằng bao nhiêu?
Đặt vào hai đầu đoạn mạch điện RLC không phân nhánh một hiệu điện thế:
thì cường độ dòng điện qua đoạn mạch có biểu thức là
Công suất tiêu thụ của đoạn mạch này là bao nhiêu?
Hai vật M1 và M2 dao động điều hòa cùng tần số. Hình bên là đồ thị biểu diễn sự phụ thuộc của li độ x1 của M1 và vận tốc v2 của M2 theo thời gian t. Hai dao động của M1 và M2 lệch pha nhau




Một con lắc lò xo dao động điều hòa theo phương ngang với tần số góc . Vật nhỏ của con lắc có khối lượng 100g. Tại thời điểm t = 0, vật nhỏ qua vị trí cân bằng theo chiều dương. Tại thời điểm t = 0,95s, vận tốc v và li độ t của vật nhỏ thỏa mãn lần thứ 5. Lấy . Tính độ cứng của lò xo
Ở mặt nước có hai nguồn sóng cơ A và B cách nhau 14,5cm, dao động điều hòa cùng tần số, cùng pha theo phương vuông góc với mặt nước. Điểm M nằm trên AB, cách trung điểm O là 1,5cm, là điểm gần O nhất luôn dao động với biên độ cực đại. Trên đường tròn tâm O, đường kính 20cm, nằm ở mặt nước có bao nhiêu điểm luôn dao động với biên độ cực đại?
Một sóng cơ truyền dọc theo một sợi dây đàn hồi rất dài với biên độ 6mm. Tại một thời điểm, hai phần tử trên dây cùng lệch khỏi vị trí cân bằng 3mm, chuyển động ngược chiều và cách nhau một khoảng ngắn nhất là 8cm (tính theo phương truyền sóng). Gọi
là tỉ số của tốc độ dao động cực đại của một phần tử trên dây với tốc độ truyền sóng. gần giá trị nào nhất sau đây?
Một khung dây dẫn phẳng quay đều với tốc độ góc quanh một trục cố định nằm trong mặt phẳng khung dây, trong một từ trường đều có vectơ cảm ứng từ vuông góc với trục quay của khung. Suất điện động cảm ứng trong khung có biểu thức
Đặt điện áp vào hai đầu đoạn mạch có R,L,C mắc nối tiếp, trong đó cuộn cảm thuần có độ tự cảm L thay đổi được. Biết giá trị điện trở là và dung kháng của tụ điện là . Khi L=L1 thì điện áp giữa hai đầu cuộn cảm là




Đoạn mạch AB gồm hai đoạn mạch AM và MB mắc nối tiếp. Đoạn mạch AM gồm điện trở thuần mắc nối tiếp với tụ điện có điện dung
, đoạn mạch MB gồm điện trở thuần R2 mắc nối tiếp với cuộn cảm thuần. Đặt vào A,B điện áp xoay chiều có giá trị hiệu dụng và tần số không đổi thì điện áp tức thời ở hai đầu đoạn mạch AM và MB lần lượt là
Đặt điện áp (U và không đổi) vào hai đầu đoạn mạch AB. Hình bên là sơ đồ mạch điện và một phần đồ thị biểu diễn sự phụ thuộc của điện áp uMB giữa hai điểm M,B theo thời gian t khi K mở và khi K đóng. Biết điện trở R=2r. Giá trị của U là?
Trên một sợi dây OB căng ngang, hai đầu cố định đang có sóng dừng với tần số f xác định. Gọi M,N và P là ba điểm trên dây có vị trí cân bằng cách B lần lượt 4cm, 6cm và 38cm. Hình vẽ mô tả dạng sợi dây ở thời điểm t1 (đường 1) và thời điểm (đường 2). Tại thời điểm t1, li độ của phần tử dây ở N bằng biên độ của phần tử dây ở M và tốc độ của phần tử dây ở M là 60cm/s. Tại thời điểm t2, vận tốc của phần tử dây ở P là




Cho cơ hệ như hình bên. Vật m khối lượng 100g có thể chuyển động tịnh tiến, không ma sát trên mặt phẳng nằm ngang dọc theo trục lò xo có k= 40 N/m. Vật M khối lượng 300g có thể trượt trên m với hệ số ma sát . Ban đầu, giữ m đứng yên ở vị trí lò xo dãn 4,5cm, dây D (mềm, nhẹ, không dãn) song song với trục lò xo. Biết M luôn ở trên m và mặt tiếp xúc giữa hai vật nằm ngang. Lấy . Thả nhẹ cho m chuyển động. Tính từ lúc thả đến khi m đổi chiều chuyển động lần thứ 3 thì tốc độ trung bình của m là?




Đặt điện áp (f thay đổi được, U tỉ lệ thuận với f ) vào hai đầu đoạn mạch AB gồm đoạn mạch AM mắc nối tiếp
với đoạn mạch MB. Đoạn mạch AM gồm điện trở thuần R mắc nối tiếp với tụ điện có điện dung C, đoạn mạch MB chỉ có cuộn
cảm thuần có độ tự cảm L. Biết 2L > R2 C. Khi f = 60Hz hoặc f = 90Hz thì cường độ dòng điện hiệu dụng trong mạch có cùng
giá trị. Khi f = 30Hz hoặc f = 120 Hz thì điện áp hiệu dụng hai đầu tụ điện có cùng giá trị. Khi f =f1 thì điện áp ở hai đầu đoạn
mạch MB lệch pha một góc so với điện áp ở hai đầu đoạn mạch AM. Xác định giá trị của f1
1 mã đề 40 câu hỏi
1 mã đề 40 câu hỏi
1 mã đề 40 câu hỏi
1 mã đề 40 câu hỏi

