(2023) Đề thi thử Vật Lí THPT Yên Định 1 - Thanh Hóa (Lần 1) có đáp án
Từ khoá: Đề thi thử Vật lí 2023 Yên Định 1 Thanh Hóa Đáp án chi tiết Luyện thi Ôn tập Tốt nghiệp Học sinh
Bộ sưu tập: 📘 Tuyển Tập Bộ Đề Thi Ôn Luyện THPT Quốc Gia Môn Vật Lý Các Tỉnh (2018-2025) - Có Đáp Án Chi Tiết 📘 Tuyển Tập Đề Thi Tham Khảo Các Môn THPT Quốc Gia 2025 🎯
Số câu hỏi: 40 câuSố mã đề: 1 đềThời gian: 1 giờ
267,356 lượt xem 20,563 lượt làm bài
Trong mạch điện xoay chiều RLC mắc nối tiếp, khi hiện tượng cộng hưởng xảy ra thì hệ thức nào sau đây đúng?




Âm La do đàn ghita phát ra và âm Rê do sáo phát ra thì chắc chắn khác nhau về cả
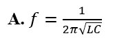
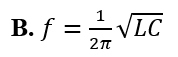
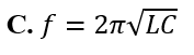
Tần số dao động điện từ tự do của mạch LC có điện trở thuần không đáng kể là




Nếu ánh sáng kích thích là ánh sáng màu lam thì ánh sáng huỳnh quang không thể là ánh sáng nào dưới đây?
Chiếu một chùm ánh sáng trắng qua lăng kính. Chùm sáng tách thành nhiều chùm sáng có màu sắc khác nhau. Đó là hiện tượng




Trong mạch dao động LC lí tưởng đang có dao động điện từ tự do, điện tích của một bản tụ và cường độ dòng điện qua cuộn cảm thuần biến thiên điều hòa theo thời gian
Bản chất dòng điện trong chất điện phân là
Tia tử ngoại được ứng dụng để
Hai điện tích điểm đặt cách nhau khoảng r trong chân không thì lực điện tương tác giữa chúng có độ lớn là F. Nếu đặt chúng ở khoảng cách 2r thì lực điện khi đó có độ lớn là




Hệ dao động có tần số riêng là , chịu tác dụng của ngoại lực cưỡng bức tuần hoàn có tần số f. Tần số dao động cưỡng bức của hệ là




Một mạch điện gồm điện trở R được nối với nguồn điện có suất điện động E, điện trở trong r. Công suất tỏa nhiệt trên điện trở R bằng




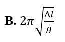
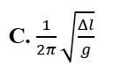
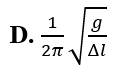
Tại nơi có gia tốc trọng trường là g, một con lắc lò xo treo thẳng đứng đang dao động điều hòa. Biết tại vị trí cân bằng của vật độ dãn của lò xo là . Chu kì dao động của con lắc này là




Khi mắc một vôn kế nhiệt vào hai đầu của một mạch điện xoay chiều, số đo của vôn kế cho biết
Hiện tượng nào dưới đây là hiện tượng quang điện?
Trong sự truyền sóng cơ, sóng ngang truyền được trong
Tiến hành thí nghiệm Y-âng về giao thoa ánh sáng đơn sắc, ánh sáng sử dụng có bước sóng là , khoảng cách giữa hai khe 1mm và khoảng cách từ hai khe đến màn là 2m. Khoảng vân đo được là
Trên một dây đàn hồi đang có sóng dừng. Gọi là tần số nhỏ nhất để có thể tạo ra sóng dừng trên dây. các tần số tiếp theo tuân theo quy luật Liên hệ giữa số nút và số bụng sóng trên dây là
Một máy biến áp lý tưởng có cuộn sơ cấp gồm 500 vòng dây và cuộn thứ cấp gồm 250 vòng dây. Khi nối hai đầu cuộn sơ cấp với điện áp thì điện áp hiệu dụng giữa hai đầu cuộn dây thứ cấp bằng:
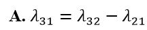
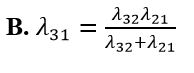
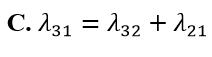
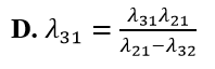
Theo tiên đề của Bo, khi electron trong nguyên tử hidro chuyển từ quỹ đạo L về quỹ đạo K thì nguyên tử phát ra photon có bước sóng , khi electron chuyển từ quỹ đạo M về quỹ đạo L thì nguyên tử phát ra photon có bước sóng , khi electron chuyển từ quỹ đạo M về quỹ đạo K thì nguyên tử phát ra photon có bước sóng . Biểu thức xác định là




Cho mạch dao động LC lí tưởng, gồm tự điện có điện dung C=120 pF và cuộn cảm có độ tự cảm L= 3mH. Chu kỳ dao động riêng của mạch này là




Một chất điểm dao động trên trục Ox với phương trình . Gốc thời gian (t=0) được chọn tại thời điểm vật đi qua vị trí li độ
Trong một mạch dao động LC không có điện trở thuần đang có dao động điện từ tự do. Điện áp cực đại giữa hai bản tụ và cường độ dòng điện cực đại qua mạch lần lượt là và tại thời điểm điện áp tức thời giữa hai bản tụ điện có độ lớn thì cường độ dòng điện tức thời trong mạch có giá trị là




Công thoát của electron đối với một kim loại là 2,3 eV. Chiếu lên bề mặt kim loại này lần lượt hai bức xạ có bước sóng là và . Hãy cho biết bức xạ nào có khả năng gây ra hiện tượng quang điện đối với kim loại này?
Một đoạn mạch gồm điện trở thuần , cuộn cảm thuần có độ tự cảm và tụ điện C mắc nối tiếp. Đặt vào hai đầu đoạn mạch có điện áp thì công suất tiêu thụ trên đoạn mạch đó bằng 160 W. Biểu thức điện áp trên tụ điện là




Trong thí nghiệm Y-âng về giao thoa, hai khe được chiếu bằng ánh sáng đơn sắc có bước sóng , Khoảng cách giữa hai khe là 0,8 mm, khoảng cách từ mặt phẳng chứa hai khe đến màn quan sát là 2m. M và N là hai vị trí trên màn với và . Tổng số vân sáng và vân tối có trong MN là
Trong thí nghiệm Y-âng về giao thoa với ánh sáng trắng có , khoảng cách giữa hai khe là 1 mm, khoảng cách từ mặt phẳng chứa hai khe đến màn quan sát là 1m. Bước sóng của các bức xạ cho vân sáng tại vị trí cách vân trung tâm 1 đoạn 1,2 mm là:




Đặt điện áp xoay chiều vào hai đầu đoạn mạch gồm điện trở , cuộn cảm thuần có độ tự cảm và tụ điện có điện dung mắc nối tiếp. Điện năng mà mạch này tiêu thụ sau 30 phút hoạt động liên tục bằng:
Từ trạm phát điện người ta muốn truyền đi một công suất 500 kW, trên đường dây một pha có điện trở 25 , hệ số công suất dưới hiệu điện thế 20 kV. Hiệu suất của quá trình truyền tải là:




Một con lắc lò xo gồm vật nặng khối lượng 0,2 kg gắn vào đầu lò xo. Người ta kéo quả nặng ra khỏi vị trí cân bằng rồi thả nhẹ cho nó dao động điều hòa, tốc độ trung bình trong một chu kỳ là . Cơ năng dao động của con lắc bằng




Cho hai dao động điều hòa cùng phương, cùng tần số, cùng biên độ 4 cm, lệch pha nhau . Dao động tổng hợp của hai dao động trên có biên độ là
Trong thí nghiệm về giao thoa sóng nước, hai nguồn A và B cách nhau 16 cm, dao động điều hoà theo phương vuông góc với mặt nước với cùng phương trình . Tốc độ truyền sóng trên mặt nước là 12 cm/s. Trên đoạn AB, số điểm dao động với biên độ cực đại là
Đặt điện áp vào hai đầu đoạn mạch AB gồm ba phần tử: cuộn dây có độ tự cảm L và điện trở thuần r, điện trở thuần R và tụ điện có điện dung C theo thứ tự trên mắc nối tiếp. M là điểm nối giữa cuộn dây và điện trở thuần R. Biết , điện áp giữa hai điểm M,B có giá trị hiệu dụng bằng 60 V và lệch pha so với điện áp hai đầu đoạn mạch AB. Giá trị hiệu dụng của cường độ dòng điện trong mạch bằng 3 (A). Công suất tỏa nhiệt trên R bằng




Hai con lắc lò xo giống nhau đều có khối lượng vật nhỏ là m. Lấy mốc thế năng tại VTCB và và lần lượt là đồ thị li độ theo thời gian của con lắc thứ nhất và con lắc thứ hai (hình vẽ). Khi thế năng của con lắc thứ nhất bằng 0,03 J thì hai con lắc cách nhau 5 cm. Khối lượng m là
Một sợi dây dài 80 cm đang có sóng dừng ngoài hai đầu dây cố định, trên dây còn có 4 điểm khác đứng yên, tần số dao động của sóng trên dây là 100 Hz. Biết trong quá trình dao động tại thời điểm sợi dây nằm ngang thì tốc độ dao động của điểm bụng khi đó là . Tỉ số khoảng cách nhỏ nhất và lớn nhất giữa hai điểm bụng gần nhau nhất trong quá trình dao động bằng
Một sóng hình sin lan truyền trên mặt nước từ nguồn O với bước sóng . Ba điểm A,B,C trên hai phương truyền sóng sao cho OA vuông góc với OC và B là một điểm thuộc tia OA sao cho OB > OA. Biết OA = . Tại thời điểm người ta quan sát thấy giữa A và B có 6 đỉnh sóng (kể cả A và B) và lúc này góc ACB đạt giá trị lớn nhất. Số điểm dao động ngược pha với nguồn trên đoạn AC bằng
Một con lắc lò xo, vật nhỏ có khối lượng m= 100 g dao động điều hòa theo phương trùng với trục của lò xo. Biết đồ thị phụ thuộc thời gian vận tốc của vật như hình vẽ. Độ lớn lực kéo về tại thời điểm 2/3 s là
Một động cơ điện xoay chiều một pha trên vỏ có ghi 110V- 55 W, khi động cơ làm việc bình thường thì điện áp hai đầu động cơ luôn sớm pha hơn dòng điện góc với cos =0,8. Để động cơ làm việc bình thường khi mắc vào mạng điện xoay chiều 220V-50Hz thì người ta mắc nối tiếp động cơ với một tụ điện có điện dung là
Đặt điện áp xoay chiều có giá trị hiệu dụng và tần số không đổi vào hai đầu đoạn mạch AB mắc nối tiếp theo thứ tự gồm cuộn cảm thuần L, biến trở R và tụ điện C. Gọi là điện áp hiệu dụng ở hai đầu đoạn mạch gồm tụ C và biến trở R, Uc là điện áp hiệu dụng ở hai đầu tụ là điện áp hiệu dụng hai đầu cuộn cảm thuần L. Hình bên là đồ thị biểu diễn sự phụ thuộc của theo giá trị của biến trở R. Khi thì hệ số công suất của đoạn mạch AB xấp xỉ là
Một lò xo nhẹ có độ cứng k, đầu trên được treo vào một điểm cố định, đầu dưới gắn vật nhỏ A có khối lượng 100g; vật A được nối với vật nhỏ B có khối lượng 100g bằng một sợi dây mềm, mảnh, nhẹ, không dãn và đủ dài. Từ vị trí cân bằng của hệ, kéo vật B thẳng đứng xuống dưới một đoạn 15 cm rồi thả nhẹ để vật B đi lên với vận tốc ban đầu bằng không. Khi vật B bắt đầu đổi chiều chuyển động thì bất ngờ bị tuột khỏi dây nối. Bỏ qua các lực cản, lấy . Tốc độ của B lúc đi qua ví trí được thả ban đầu là:
1 mã đề 40 câu hỏi
1 mã đề 40 câu hỏi
1 mã đề 40 câu hỏi
1 mã đề 40 câu hỏi

