(2023) Đề thi thử Vật Lí THPT Dĩ An - Bình Dương (Lần 1) có đáp án
Từ khoá: Đề thi thử Vật lí 2023 Dĩ An Bình Dương Lần 1 Đáp án chi tiết Luyện thi Ôn tập Tốt nghiệp Học sinh
Bộ sưu tập: 📘 Tuyển Tập Bộ Đề Thi Ôn Luyện THPT Quốc Gia Môn Vật Lý Các Tỉnh (2018-2025) - Có Đáp Án Chi Tiết 📘 Tuyển Tập Đề Thi Tham Khảo Các Môn THPT Quốc Gia 2025 🎯
Số câu hỏi: 40 câuSố mã đề: 1 đềThời gian: 1 giờ
Pha của dao động được dùng để xác định
Loại sóng vô tuyến bị phản xạ mạnh nhất ở tầng điện li là:




Đơn vị mức cường độ âm là
Tia X không có tính chất nào sau đây?
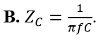
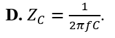
Điện áp tức thời ở hai đầu một đoạn mạch điện là (V). Điện áp hiệu dụng bằng
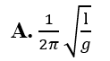
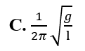
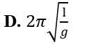
Chu kì dao động điều hòa của một con lắc đơn có chiều dài dây treo l tại nơi có gia tốc trọng trường g là




Trong đoạn mạch xoay chiều, điện áp chậm pha hơn dòng điện một lượng . Hệ số công suất của đoạn mạch là




Trong một mạch điện xoay chiều chỉ có cuộn cảm thuần thì điện áp giữa hai đầu đoạn mạch so với cường độ dòng điện




Trong việc truyền tải điện năng đi xa, để giảm công suất hao phí trên đường dây n lần thì điện áp hai đầu đường dây phải
Một máy phát điện xoay chiều một pha với phần cảm là rôto có p cặp cực. Khi rôto quay đều với tốc độ n (vòng/phút) thì tần số của suất điện động (tính theo đơn vị Hz ) do máy phát ra là




Chiếu một chùm sáng đơn sắc hẹp tới mặt bên của một lăng kính thủy tinh đặt trong không khí. Khi đi qua lăng kính, chùm sáng này
Một mạch dao động điện từ LC lí tưởng gồm cuộn cảm thuần độ tự cảm L và tụ điện có điện dung thay đổi được từ đến . Mạch dao động này có chu kì dao động riêng thay đổi được




Khi nói về sóng cơ học phát biểu nào sau đây là sai?
Khi nói về dao động cưỡng bức, phát biểu nào sau đây là đúng?
Trong chân không, các bức xạ có bước sóng tăng dần theo thứ tự đúng là
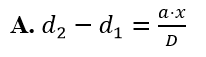
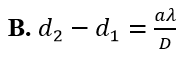
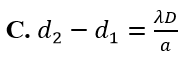
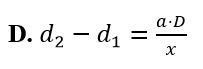
Trong thí nghiệm Y-âng về giao thoa ánh sáng, bước sóng ánh sáng đơn sắc dùng trong thí nghiệm là , khoảng cách giữa hai khe là a, khoảng cách từ mặt phẳng chứa hai khe đến màn là D. Gọi lần lượt là khoảng cách từ hai nguồn đến vị trí vân M trên màn quan sát và x là khoảng cách từ vân trung tâm đến vân M. Ta luôn có




Ở hai đầu một điện trở R có đặt một hiệu điện thế xoay chiều một hiệu điện thế không đổi . Để dòng điện xoay chiều có thể qua điện trở và chặn không cho dòng điện không đổi qua nó ta phải:
Một sóng truyền theo phương AB. Tại một thời điểm nào đó, hình dạng sóng có dạng như hình vẽ. Biết rằng điểm M đang đi lên vị trí cân bằng. Khi đó, điểm N đang chuyển động như thế nào?
Một vật dao động điều hòa với chu kì T. Chọn gốc thời gian là lúc vật qua vị trí cân bằng, vận tốc của vật bằng 0 lần đầu tiên ở thời điểm




Một chất điểm dao động theo phương trình (cm). Dao động của chất điểm có độ dài quỹ đạo là
Trên một sợi dây đàn hồi dài 1m, hai đầu cố định, có sóng dừng với hai bụng sóng. Bước sóng của sóng truyền trên dây là
Hai đầu cuộn thuần cảm có hiệu điện thế xoay chiều . Pha ban đầu của cường độ dòng điện là




Cho hai dao động điều hoà cùng phương, cùng tần số, cùng biên độ A và lệch pha nhau . Dao động tổng hợp của hai dao động này có biên độ là
Một sóng ngang có biểu thức truyền sóng trên phương x là , trong đó x tính bằng mét, t tính bằng giây. Tần số của sóng là
Một vật nặng gắn vào một lò xo nhẹ có độ cứng k= 20 N/m thực hiện dao động điều hoà với biên độ A= 5cm. Động năng của vật khi nó cách vị trí biên 4cm là
Một vật dao động điều hòa với tần số góc . Tại thời điểm t = 0 vật đi qua vị trí có li độ thì vận tốc của vật là . Phương trình dao động của vật là




Mạch dao động để chọn sóng của một máy thu thanh gồm một cuộn dây có hệ số tự cảm và một tụ có điện dung . Mạch dao động nói trên có thể bắt được sóng có bước sóng:
Trong thí nghiệm giao thoa sóng ở mặt nước, 2 nguồn kết hợp A và B dao động cùng pha. Hai điểm M,N nằm trên đoạn AB là 2 điểm dao động cực đại lần lượt là thứ k và k+4. Biết MA= 1,2cm, NA= 1,4 cm. Bước sóng là
Một máy biến áp lí tưởng có số vòng dây của cuộn sơ cấp là 800 vòng, của cuộn thứ cấp là 40 vòng. Hiệu điện thế và cường độ hiệu dụng ở mạch thứ cấp là 40 V và 6 A. Hiệu điện thế và cường độ hiệu dụng ở mạch sơ cấp là
Trong thí nghiệm giao thoa I âng khoảng cách hai khe là 5mm khoảng cách giữa mặt phẳng chứa hai khe và màn ảnh 2m. Giao thoa với ánh sáng đơn sắc màu vàng có bước sóng . Tìm vị trí vân sáng bậc 3 trên màn ảnh.




Đặt điện áp xoay chiều có giá trị hiệu dụng 200 V vào hai đầu đoạn mạch có R, L, C mắc nối tiếp, trong đó L thuần cảm và R có giá trị thay đổi được. Khi hoặc thì công suất tiêu thụ trên toàn mạch bằng nhau. Thay đổi R để công suất tiêu thụ toàn mạch đạt cực đại, giá trị cực đại đó là
Trong một mạch dao động LC không có điện trở thuần, có dao động điện từ tự do (dao động riêng). Hiệu điện thế cực đại giữa hai bản tụ và cường độ dòng điện cực đại qua mạch lần lượt là và . Tại thời điểm cường độ dòng điện trong mạch có giá trị thì độ lớn hiệu điện thế giữa hai bản tụ điện là




Trong thí nghiệm Y-âng về giao thoa ánh sáng, hai khe được chiếu bằng ánh sáng đơn sắc có bước sóng . Khoảng cách giữa hai khe là 1mm, khoảng cách từ mặt phẳng chứa hai khe đến màn quan sát là 2,5m, bề rộng miền giao thoa là 1,25cm. Tổng số vân sáng và vân tối có trong miền giao thoa là
Làm thí nghiệm giao thoa ánh sáng với hai khe Y-âng đông thời với hai ánh sáng đơn sắc đơn sắc màu đỏ và màu lục thì khoảng vân giao thoa trên màn lần lượt là 1,5mm và 1,1mm. Hai điểm M và N nằm hai bên vân sáng trung tâm và cách vân trung tâm lần lượt là 6,4mm và 26,5 mm. số vân sáng màu đỏ quan sát được trên đoạn MN là
Mắc lần lượt từng phần tử điện trở thuần R, cuộn dây thuần cảm L và tụ điện có điện dung C vào mạng điện xoay chiều có điện áp hiệu dụng và tần số không đổi thì cường độ hiệu dụng của dòng điện tương ứng là 0,25A, 0,50A, 0,20A. Nếu mắc nối tiếp cả ba phần tử vào mạng điện xoay chiều nói trên thì cường độ hiệu dụng của dòng điện qua mạch là:
Đặt điện áp (U không đối, thay đổi được) vào hai đầu đoạn mạch AB nối tiếp gồm, điện trở R, cuộn dây thuần cảm có độ tự cảm L và tụ điện có điện dung C. Hình vẽ là đồ thị phụ thuộc thời gian của dòng tức thời trong mạch trong hai trường hợp (đường 1) và (đường 2). Khi mạch AB tiêu thụ công suất 150 W. Khi thì điện áp hiệu dụng trên tụ cực đại, lúc này mạch tiêu thụ một công suất gần giá trị nào nhất sau đây?
Một sợi dây đàn hồi, đầu A gắn với nguồn dao động và đầu B tự do. Khi dây rung với tần số f= 10Hz thì trên dây xuất hiện sóng dừng ổn định có 5 điểm nút trên dây với A là nút và B là bụng. Nếu đầu B được giữ cố định và tốc độ truyền sóng trên dây không đổi thì phải thay đổi tần số rung của dây một lượng nhỏ nhất bằng bao nhiêu để trên dây tiếp tục xảy ra hiện tượng sóng dừng ổn định?




Một con lắc lò xo treo thẳng đứng trên giá tại I. Đưa vật dọc theo trục của lò xo tới vị trí lò xo nén 1,5cm. Cho và bỏ qua mọi ma sát. Chọn trục Ox hướng thẳng đứng xuống dưới. Gốc O trùng vị trí cân bằng của vật. Tại thời điểm t = 0 thì buông nhẹ cho vật dao động. Lấy chiều dương của lực trùng với chiều dương trục Ox. Biểu thức của lực tác dụng lên điểm treo I là




Đặt điện áp (U không đối, thay đổi được) vào hai đầu đoạn mạch AB nối tiếp gồm, điện trở R, cuộn dây thuần cảm có độ tự cảm L và tụ điện có điện dung C. Hình vẽ là đồ thị phụ thuộc thời gian của dòng tức thời trong mạch trong hai trường hợp (đường 1) và (đường 2). Khi mạch AB tiêu thụ công suất 150 W. Khi thì điện áp hiệu dụng trên tụ cực đại, lúc này mạch tiêu thụ một công suất gần giá trị nào nhất sau đây?
1 mã đề 40 câu hỏi
1 mã đề 40 câu hỏi
1 mã đề 40 câu hỏi

