[2021] Trường THPT Hoàng Hoa Thám - Đề thi thử THPT QG năm 2021 môn Sinh
Bộ sưu tập: 📘 Tuyển Tập Bộ Đề Thi Ôn Luyện THPT Quốc Gia Môn Sinh Học Các Trường (2018-2025) - Có Đáp Án Chi Tiết 🧬📘 Tuyển Tập Đề Thi Tham Khảo Các Môn THPT Quốc Gia 2025 🎯
Số câu hỏi: 40 câuSố mã đề: 1 đềThời gian: 1 giờ
207,127 lượt xem 15,917 lượt làm bài
Khử nitrat là quá trình
Động vật nào sau đây có dạ dày 4 ngăn?
Loại nuclêôtit nào sau đây không phải là đơn phân cấu tạo nên gen?
Tiến hành nuôi hạt phấn của cây có kiểu gen AaBbDd để tạo dòng thuần chủng. Theo lí thuyết, có thể thu được tối đa bao nhiêu dòng thuần?
Trình tự nuclêôtit ở vùng vận hành (O) của operôn Lac ở vi khuẩn E. coli bị thay đổi có thể dẫn đến
Loại đột biến nhiễm sắc thể nào sau đây làm thay đổi số lượng gen trên một nhiễm sắc thể?
"Đàn voi sống trong rừng" thuộc cấp độ tổ chức sống nào dưới đây?
Ở người, alen A nằm trên nhiễm sắc thể X quy định mắt nhìn màu bình thường là trội hoàn toàn so với alen a quy định bệnh mù màu. Kiểu gen nào sau đây là người nữ bị mù màu?
Bọ xít có vòi chích dịch từ cây mướp để sinh sống. Bọ xít và cây mướp thuộc mối quan hệ
Cho biết quá trình giảm phân không xảy ra đột biến, các gen phân li độc lập và tác động riêng rẽ, các alen trội là trội hoàn toàn. Theo lý thuyết, phép lai AaBbDd x AaBbDD cho đời con có tối đa:
Khi nói về vai trò của các nhân tố tiến hóa, phát biểu nào sau đây đúng?
Một quần thể thực vật giao phấn đang ở trạng thái cân bằng di truyền, xét 1 gen có hai alen là A và a, trong đó tần số alen A là 0,4. Theo lí thuyết, tần số kiểu gen aa của quần thể là:
Từ một cây hoa quý hiếm, bằng cách áp dụng kĩ thuật nào sau đây có thể nhanh chóng tạo ra nhiều cây có kiểu gen giống nhau và giống với cây hoa ban đầu?
Theo thuyết tiến hóa hiện đại, nhân tố tiến hóa nào sau đây chỉ làm thay đổi tần số kiểu gen mà không làm thay đổi tần số alen của quần thể?
Về mặt sinh thái, sự phân bố các cá thể cùng loài một các đồng đều trong môi trường có ý nghĩa gì?
Trong lịch sử phát triển của thế giới sinh vật, thực vật có hoa bắt đầu xuất hiện ở giai đoạn nào sau đây?
Một operon của vi khuẩn E.coli có 3 gen cấu trúc là X, Y và Z. Người ta phát hiện một dòng vi khuẩn đột biến trong đó sản phẩm của gen Y bị thay đổi về trình tự và số lượng axit amin còn các sản phẩm của gen X và Z vẫn bình thường. Nhiều khả năng trật tự của các gen cấu trúc trong operon này kể từ promoter là:
Khi nói về cạnh tranh cùng loài, phát biểu nào sau đây khôngđúng?
Sắc tố nào sau đây trực tiếp tham gia chuyển hoá năng lượng ánh sáng thành năng lượng của các liên kết hoá học trong ATP và NADPH?
Cơ thể có kiểu gen nào sau đây là cơ thể dị hợp tử về tất cả các cặp gen đang xét?
Mẹ có kiểu gen XAXA, bố có kiểu gen XaY, con gái có kiểu gen XAXAXa. Cho biết quá trình giảm phân ở bố và mẹ không xảy ra đột biến gen. Theo lí thuyết, phát biểu nào sau đây về quá trình giảm phân của bố và mẹ là đúng?
Điều nào dưới đây không đúng đối với di truyền ngoài nhiễm sắc thể?
Khi nói về hệ sinh thái trên cạn, phát biểu nào sau đây đúng?
Khi nói về đặc điểm của hệ tuần hoàn hở, phát biểu nào sau đây đúng?
Những dạng đột biến nào sau đây :
Trong trường hợp giảm phân và thụ tinh bình thường, một gen quy định một tính trạng và gen trội là trội hoàn toàn. Tính theo lý thuyết, phép lai cho đời con có kiểu hình chỉ mang một tính trạng lặn chiếm tỉ lệ là:
Theo thuyết tiến hóa hiện đại, phát biểu nào sau đây đúng?
Diễn thế sinh thái thứ sinh thường có đủ bao nhiêu đặc điểm sau đây?
I. Làm biến đổi thành phần loài và số lượng loài của quần xã.
II. Làm biến đổi mạng lưới dinh dưỡng của quần xã.
III. Xảy ra ở môi trường đã có một quần xã sinh vật từng sống.
IV. Có sự biến đổi tuần tự của quần xã qua các giai đoạn tương ứng với sự biến đổi của môi trường.
Ở một loài thực vật, chiều cao cây do 5 cặp gen không alen tác động cộng gộp. Sự có mặt mỗi alen làm chiều cao tăng thêm 5cm. Lai cây cao nhất có chiều cao 210cm với cây thấp nhất sau đó cho F1 giao phấn. Chiều cao trung bình và tỉ lệ nhóm cây có chiều cao trung bình ở F2:
Người ta nuôi một tế bào vi khuẩn E.coli trong môi trường chứa N14 (lần thứ 1). Sau một thế hệ người ta chuyển sang môi trường nuôi cấy có chứa N15 (lần thứ 2) để cho mỗi tế bào nhân đôi 2 lần. Sau đó lại chuyển các tế bào đã được tạo ra sang nuôi cấy trong môi trường có N14 (lần thứ 3) để chúng nhân đôi 1 lần nữa. Tính số tế bào chứa cả N14 và N15:
Ở một loài sâu, người ta thấy gen R là gen kháng thuốc trội hoàn toàn so với r mẫn cảm với thuốc. Một quần thể sâu có thành phần kiểu gen 0,3RR : 0,4Rr : 0,3rr. Sau một thời gian dùng thuốc, thành phần kiểu gen của quần thể là 0,5RR : 0,4Rr : 0,1rr. Có bao nhiêu kết luận nào dưới đây là đúng?
I. Thành phần kiểu gen của quần thể sâu không bị tác động của chọn lọc.
II. Sự biến đổi đó là do quá trình đột biến xảy ra.
III. Sau thời gian xử lý thuốc, tần số alen kháng thuốc R tăng lên 10%.
IV. Tần số alen mẫn cảm với thuốc giảm so với ban đầu là 20%.
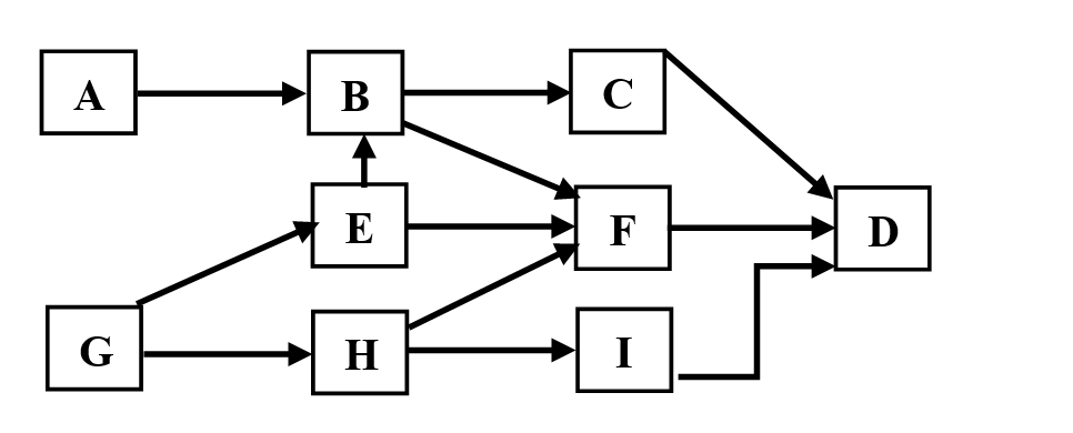
Giả sử lưới thức ăn trong một hệ sinh thái gồm các loài sinh vật A, B, C, D, E, F, G, H, I được mô tả bằng sơ đồ hình bên. Cho biết loài A và G là sinh vật sản xuất, các loài còn lại đều là sinh vật tiêu thụ. Phân tích lưới thức ăn này, có bao nhiêu phát biểu sau đây đúng?

I. Có 8 chuỗi thức ăn khác nhau.
II. Loài B tham gia vào nhiều chuỗi thức ăn hơn so với loài F.
III. Loài E thuộc 3 bậc dinh dưỡng khác nhau.
IV. Lượng chất độc mà loài F tích lũy được cao hơn loài C.
Cho biết các côđon mã hóa một số loại axit amin như sau:
Côđon | 5'XUU3'; 5'XUX3'; 5'XUA3'; 5'XUG3' | 5'UAU3'; 5'UAX3' | 5'UGU3'; 5'UGX3' | 5'GAU3'; 5'GAX3' |
Axit amin | Lơxin | Tirôzin | Xisterin | Aspactic |
Một đoạn mạch làm khuôn tổng hợp mARN của alen B có trình tự như sau: 3’ … ATG AXA XTG GAX…5’
Alen B bị đột biến điểm tạo ra 4 alen có trình tự nuclêôtit ở đoạn mạch này như sau:
I. Alen B1: 3’ … ATG AXA XTG GAT…5’
II. Alen B2: 3’ … ATG AXG XTG GAX…5’
III. Alen B3: 3’ … ATG AXA XAG GAX…5’
IV. Alen B4: 3’ … ATX AXA XTG GAX…5’
Theo lí thuyết, trong 4 alen trên, có bao nhiêu alen mã hóa chuỗi pôlipeptit có thành phần axit amin không thay đổi so với chuỗi pôlipeptit do alen B mã hóa?
Ở một loài thực vật, cho giao phấn giữa cây hoa đỏ thuần chủng với cây hoa trắng được F1 toàn hoa đỏ. Tiếp tục cho F1 lai với cơ thể đồng hợp lặn được thế hệ con có tỉ lệ 3 cây hoa trắng : 1 cây hoa đỏ. Cho cây F1 tự thụ phấn được các hạt lai F2. Cho các cây F2 tự thụ, xác suất để F3 chắc chắn không có sự phân tính:
Khi nói về sự hình thành loài bằng con đường địa lí, có bao nhiêu phát biểu sau đây sai?
I. Chọn lọc tự nhiên trực tiếp tạo ra các kiểu gen thích nghi của quần thể.
II. Sự hình thành loài mới có sự tham gia của các nhân tố tiến hóa.
III. Cách li địa lí là nhân tố tăng cường sự phân hoá thành phần kiểu gen của các quần thể trong loài.
IV. Phương thức hình thành loài này xảy ra ở cả động vật và thực vật.
Ở một loài thú, khi cho con cái lông đen thuần chủng lai với con đực lông trắng thuần chủng được F1 đồng loạt lông đen. Cho con đực lai F1 lai phân tích, đời Fa thu được tỉ lệ 2 con đực lông trắng, 1 con cái lông đen, 1 con cái lông trắng. Nếu cho các cá thể F1 giao phối ngẫu nhiên được thế hệ F2. Trong số các cá thể lông đen ở F2, con đực chiếm tỉ lệ
Ở một quần thể thực vật ngẫu phối, alen đột biến a làm cây bị chết từ giai đoạn còn hai lá mầm; alen trội A quy định kiểu hình bình thường. Ở một locut gen khác có alen B quy định hoa màu đỏ trội hoàn toàn so với alen b quy định hoa màu trắng. Hai cặp gen nằm trên hai cặp NST thường phân ly độc lập với nhau. Ở một thế hệ (quần thể F1), người ta nhận thấy có 4% số cây bị chết từ giai đoạn hai lá mầm, 48,96% số cây sống và cho hoa màu đỏ, 47,04% số cây sống và cho hoa màu trắng. Biết quần thể ở trạng thái cân bằng đối với gen quy định màu hoa, không có đột biến mới phát sinh. Theo lý thuyết, tỷ lệ cây thuần chủng về cả hai cặp gen trên ở quần thể trước đó (quần thể P) là:
Cho sơ đồ phả hệ:

Sơ đồ phả hệ trên mô tả sự di truyền một bệnh ở người do một trong hai alen của một gen quy định. Biết rằng không xảy ra đột biến ở tất cả các cá thể trong phả hệ, tỷ lệ người mắc bệnh trong cả quần thể cân bằng di truyền này là 1%. Người phụ nữ số 8 lớn lên kết hôn với một người nam giới bình thường trong cùng quần thể. Hỏi xác suất họ sinh được người con đầu lòng không bị bệnh là bao nhiêu?
Ở gà, giới đực mang cặp nhiễm sắc thể giới tính XX, giới cái mang cặp nhiễm sắc thể giới tính XY. Cho phép lai: Pt/c gà lông dài, màu đen x gà lông ngắn, màu trắng, F1 thu được toàn gà lông dài, màu đen. Cho gà trống F1 giao phối với gà mái chưa biết kiểu gen thu được F2 gồm: 20 con gà mái lông dài, màu đen: 20 con gà mái lông ngắn, màu trắng: 5 con gà mái lông dài, màu trắng: 5 con gà mái lông ngắn, màu đen. Tất cả gà trống của F2 đều có lông dài, màu đen. Biết 1 gen quy định 1 tính trạng trội lặn hoàn toàn, không có đột biến xảy ra. Tần số hoán vị gen của gà F1 là:
Lai hai cây cà chua thuần chủng (P) khác biệt nhau về các cặp tính trạng tương phản F1 thu được 100% cây thân cao, hoa đỏ, quả tròn. Cho F1 lai với cây khác, tỉ lệ phân li kiểu hình ở F2 là 4 cây thân cao, hoa đỏ, quả dài : 4 cây thân cao, hoa vàng, quả tròn : 4 cây thân thấp, hoa đỏ, quả dài : 4 cây thân thấp, hoa vàng, quả tròn : 1 cây thân cao, hoa đỏ, quả tròn ;1 cây thân cao, hoa vàng, quả dài : 1 cây thân thấp, hoa đỏ, quả tròn : 1 cây thân thấp, hoa vàng, quả dài. Biết rằng mỗi gen quy định một tính trạng, mọi quá trình sinh học diễn ra bình thường. Có bao nhiêu nhận định đúng?
I. Khi cho F1 tự thụ phấn thì tỉ lệ kiểu hình thân thấp, hoa vàng, quả dài ở đời con là 0,0025.
II. Cặp tính trạng chiều cao thân di truyền liên kết với cặp tính trạng màu sắc hoa.
III. Khi cho F1 tự thụ phấn thì tỉ lệ kiểu hình thân thấp, hoa đỏ, quả dài ở F2 là 0,05.
IV. Hai cặp gen quy định màu sắc hoa và hình dạng quả di truyền liên kết và có xảy ra hoán vị gen.
1 mã đề 50 câu hỏi

