[2021] THPT Lương Ngọc Quyến - Đề thi thử tốt nghiệp THPT QG 2021 môn Sinh học
Từ khoá: Sinh học Quần thể sinh vật Sinh học phân tử ứng dụng Sinh học ôn thi tốt nghiệp năm 2021 đề thi có đáp án Trường THPT Lương Ngọc Quyến
Bộ sưu tập: 📘 Tuyển Tập Bộ Đề Thi Ôn Luyện THPT Quốc Gia Môn Sinh Học Các Trường (2018-2025) - Có Đáp Án Chi Tiết 🧬📘 Tuyển Tập Đề Thi Tham Khảo Các Môn THPT Quốc Gia 2025 🎯
Số câu hỏi: 40 câuSố mã đề: 1 đềThời gian: 1 giờ
194,695 lượt xem 14,972 lượt làm bài
Tảo giáp nở hoa gây độc cho cá, tôm sống trong cùng môi trường là ví dụ về quan hệ
Trong môi trường sống của cây lúa, nhân tố sinh thái nào sau đây là nhân tố vô sinh?
Ở vườn quốc gia Cát Bà, trung bình có khoảng 15 cá thể chim chào mào/ 1 ha đất rừng. Đây là ví dụ minh hoạ cho đặc trưng nào của quần thể?
Dạng đột biến nào sau đây không làm thay đổi cấu trúc của NST trong tế bào?
Cho quần thể có cấu trúc di truyền là 0,4AA: 0,5Aa ∶ 0,1aa. Tần số alen a của quần thể này là
Kiểu gen nào sau đây đồng hợp 2 cặp gen?
Trong lịch sử phát triển của sinh giới qua các đại địa chất, bò sát cổ ngự trị ở
Theo quan niệm hiện đại, nhân tố cung cấp nguồn biến dị sơ cấp cho quá trình tiến hóa là
Theo thuyết tiến hóa hiện đại, nhân tố nào sau đây có thể làm phong phú vốn gen quần thể?
Cá chép trao đổi khí với môi trường nước qua
Ở ruồi giấm, xét 1 gen nằm ở vùng không tương đồng trên NST giới tính X có 2 alen là A và a; alen A quy định mắt đỏ trội hoàn toàn so với alen a quy định mắt trắng. Theo lý thuyết, ruồi đực mắt đỏ có kiểu gen
Tạo giống bằng phương pháp gây đột biến nhân tạo thường được áp dụng đối với
Ở vùng biển Peru, sự biến động số lượng cá cơm liên quan đến hoạt động của hiện tượng El – Nino là kiểu biến động
Thực vật hấp thụ khoáng tốt nhất trong trường hợp
Trong hoạt động của Operon Lac ở vi khuẩn E. coli, vùng nào sau đây có vai trò liên kết với prôtêin ức chế làm ngăn cản sự phiên mã?
Phương pháp nào sau đây có thể được ứng dụng để tạo ra sinh vật mang đặc điểm của hai loài?
Nuclêôtit loại Uraxin là đơn phân cấu tạo nên loại phân tử nào sau đây?
Coren phát hiện ra hiện tượng di truyền tế bào chất khi nghiên cứu đối tượng nào sau đây?
Một loài thực vật, alen A quy định hoa định hoa đỏ trội hoàn toàn so với alen a quy định hoa trắng. Theo lý thuyết, phép lai nào sau đây tạo ra đời con gồm toàn cây hoa trắng?
Một loài thực vật, xét 2 cặp gen: A, a; B, b quy định 2 tính trạng, các alen trội là trội hoàn toàn. Phép lai P: Cây thuần chủng có kiểu hình trội về 2 tính trạng x Cây thuần chủng có kiểu hình lặn về 2 tính trạng, thu được các cây F1. Cho F1 tự thụ phấn, thu được F2. Theo lí thuyết, phát biểu nào sau đây sai khi nói về các cây F2?
Một loài thực vật, alen A quy định thân cao trội hoàn toàn so với alen a quy định thân thấp; alen B quy định hoa đỏ trội hoàn toàn so với alen b quy định hoa trắng. Thế hệ P: Cây thân cao, hoa đỏ tự thụ phấn, thu được F1 gồm 4 loại kiểu hình, trong đó có 4% số cây thân thấp, hoa đỏ thuần chủng. Cho biết quá trình phát sinh giao tử đực và giao tử cái đều xảy ra hoán vị gen với tần số bằng nhau. Theo lý thuyết, số cây thân cao, hoa đỏ dị hợp 2 cặp gen ở F1 chiếm tỉ lệ
Hạt phấn của loài cây này không thể thụ phấn cho hoa của loài cây khác. Ví dụ này về dạng cách li nào sau đây?
Mối quan hệ sinh thái nào sau đây, trong đó một loài có lợi còn loài kia không có lợi cũng không có hại là gì?

Theo lí thuyết, quá trình giảm phân ở cơ thể có kiểu gen nào sau đây không tạo ra giao tử ab?
Một loài thực vật có 2 cặp nhiễm sắc thể được kí hiệu là Aa, Bb. Cá thể có bộ nhiễm sắc thể nào sau đây là thể ba?
Theo lý thuyết, phép lai nào sau đây thu được đời con có số loại kiểu gen nhiều nhất?
Có bao nhiêu biện pháp sau đây góp phần sử dụng bền vững tài nguyên thiên nhiên?
(1). Thay thế dần các rừng nguyên sinh bằng các rừng thứ sinh có năng suất sinh học cao.
(2). Tích cực trồng rừng phủ xanh đất trống, đồi trọc.
(3). Xây dựng hệ thống các khu bảo tồn thiên nhiên.
(4). Tăng cường xây dựng các nhà máy nhiệt điện.
Trong hệ mạch của thú, huyết áp cao nhất ở
Một loài thực vật, màu hoa do 2 cặp gen: A, a; B, b phân li độc lập cùng quy định. Kiểu gen có cả alen trội A và alen trội B quy định hoa đỏ, các kiểu gen còn lại đều quy định hoa trắng. Phép lai P: AaBb x aabb thu được F1. Theo lý thuyết, tỉ lệ kiểu hình ở F1 là
Một loài thực vật có bộ NST lưỡng bội 2n = 28. Một hợp tử được hình thành từ giao tử đột biến (n + 1) kết hợp với giao tử bình thường. Số NST có trong hợp tử đó là
Theo thuyết tiến hóa hiện đại, khi nói về quá trình hình thành loài mới có bao nhiêu phát biểu sau đây đúng?
(1). Lai xa và đa bội hóa là con đường hình thành loài mới gặp phổ biến ở động vật.
(2). Loài mới không xuất hiện với một cá thể duy nhất mà phải là một quần thể hay một nhóm quần thể.
(3). Quá trình hình thành loài mới luôn gắn liền với quá trình hình thành đặc điểm thích nghi.
(4). Quá trình hình thành loài mới bằng con đường địa lí và con đường sinh thái bao giờ cũng diễn ra độc lập nhau.
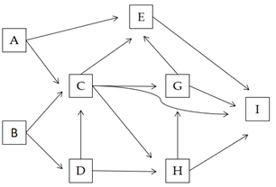
Lưới thức ăn sau mô tả một hệ sinh thái trên cạn, có bao nhiêu phát biểu sau đây đúng?

(1). Chuỗi thức ăn dài nhất có 6 mắt xích.
(2). Loài H và loài I có quan hệ cạnh tranh về dinh dưỡng.
(3). Nếu trong môi trường có chất DDT với nồng độ rất thấp thì loài I sẽ bị nhiễm chất độc nặng nhất.
(4). Nếu loài I bị tuyệt diệt thì loài E sẽ tăng số lượng cá thể.
Cho biết một đoạn mạch gốc của gen mang thông tin quy định 5 axit amin có trình tự như sau:
Đoạn mạch gốc 3’AXG _G_X_A_ AXA TA_A__G_GG5’
Số thứ tự nuclêôtit trên mạch gốc 4 6 12 13
Biết rằng các côđon mã hóa: 5’UGX3’, 5’UGU3’ quy định axit amin Xistein; 5’XGU3’, 5’XGX3’, 5’XGA3’, 5’XGG3’ quy định axit amin Acginin; 5’GGU3’, 5’GGX3’, 5’GGA3’, 5’GGG3’ quy định axit amin Glyxin; 5’AUU3’, 5’AUX3’, 5’AUA3’ quy định axit amin Izoloxin; 5’XXU3’, 5’XXX3’,
5’XXA3’, 5’XXG3’ quy định axit amin Prolin; 5’UXX3’ quy định axit amin Xerin. Theo lý thuyết, có bao nhiêu phát biểu sau đây đúng?
(1). Nếu gen bị đột biến thay thế cặp A –T ở vị trí nuclêôtit thứ 12 của đoạn ADN nói trên bằng cặp G – X thì sẽ không ảnh hưởng đến sức sống của thể đột biến.
(2). Nếu gen bị đột biến thay thế cặp A – T ở vị trí nuclêôtit thứ 6 của đoạn ADN nói trên bằng bất kỳ cặp nuclêôtit nào cũng không làm thay đổi cấu trúc của chuỗi pôlipeptit.
(3). Nếu gen bị đột biến thay thế cặp G – X ở vị trí nuclêôtit thứ 4 của đoạn ADN nói trên bằng cặp A – T thì sẽ làm xuất hiện sớm bộ ba kết thúc.
(4). Nếu gen bị đột biến thay thế cặp G – X ở vị trí nuclêôtit thứ 13 của đoạn ADN nói trên bằng cặp A – T thì sẽ làm cho chuỗi pôlipeptit bị thay đổi 1 axit amin.
Một quần thể thực vật, alen B quy định hoa đỏ trội không hoàn toàn so với alen b quy định hoa trắng, kiểu gen Bb quy định hoa hồng. Nghiên cứu thành phần kiểu gen của quần thể này qua các thế hệ, người ta thu được kết quả ở bảng sau:
| Thế hệ | P | F1 | F2 | F3 |
| Tần số kiểu gen BB | 2/5 | 25/36 | 36/49 | 49/64 |
| Tần số kiểu gen Bb | 1/5 | 10/36 | 12/49 | 14/64 |
| Tần số kiểu gen bb | 2/5 | 1/36 | 1/49 | 1/64 |
Cho rằng quần thể này không chịu tác động của nhân tố đột biến, dị - nhập gen và các yếu tố ngẫu nhiên.
Phân tích bảng số liệu trên, phát biểu nào sau đây đúng?
Một loài thực vật có bộ NST 2n = 16 Theo lý thuyết, phát biểu nào sau đây đúng?
Một loài thực vật, màu hoa do 2 cặp gen: A, a; B, b phân li độc lập cùng quy định. Nếu gen có cả alen trội A và alen trội B quy định hoa đỏ, các kiểu gen còn lại đều quy định hoa trắng. Thế hệ P: Cây hoa đỏ tự thụ phấn thu được F1 có 43,75% cây hoa trắng. Cho cây hoa đỏ ở thế hệ P thụ phấn cho các cây hoa trắng ở F1, thu được đời con. Theo lí thuyết, có bao nhiêu phát biểu sau đây đúng?
(1). Có tối đa 2 phép lai mà mỗi phép lại đều cho đời con có tỉ lệ kiểu hình là 1:1.
(2). Tỉ lệ cây hoa trắng xuất hiện tối đa ở đời con của 1 phép lai có thể là 75%.
(3). Đời con của mỗi phép lai đều có tỉ lệ kiểu gen khác với tỉ lệ kiểu hình.
(4). Có 3 phép lai mà mỗi phép lai đều cho đời con có 4 loại kiểu gen.
Ở ruồi giấm, alen A quy định cánh dài trội hoàn toàn so với alen a quy định cánh ngắn; alen B quy định mắt đỏ trội hoàn toàn so với alen b quy định mắt trắng. Hai cặp gen này phân li độc lập. Phép lai P: Ruồi cánh dài, mắt đỏ × Ruồi cánh dài, mắt trắng, thu được F1 gồm 100% ruồi cánh dài, mắt đỏ. Cho F1 × F1, thu được F2 có ruồi cánh ngắn, mắt trắng và tất cả ruồi mắt trắng đều là ruồi đực. Cho ruồi cánh dài, mắt đỏ F2 giao phối với nhau thu được F3. Theo lý thuyết, số ruồi cánh dài, mắt đỏ ở F3 chiếm tỉ lệ
Một loài thực vật, tính trạng màu sắc quả do 2 cặp gen Aa và Bb phân li độc lập và tương tác bổ sung quy định. Khi trong kiểu gen có cả alen A và B thì quy định quả đỏ; khi chỉ có alen A hoặc B thì quy định quả vàng; khi không có alen A và B thì quy định quả xanh. Một quần thể đang cân bằng di truyền có tần số alen A = 0,3. B = 0,6. Theo lý thuyết, có bao nhiêu phát biểu sau đây đúng?
(1). Số loại kiểu gen của quần thể là 9 kiểu gen.
(2). Tỉ lệ kiểu hình của quần thể là 42,84% vàng: 49,32% đỏ: 7,84% xanh.
(3). Trong quần thể, loại kiểu gen chiếm tỉ lệ cao nhất là AaBb.
(4). Lấy ngẫu nhiên một cây quả vàng, xác suất thu được cây thuần chủng là 53/137.
Sơ đồ phả hệ sau mô tả sự di truyền của một bệnh ở người do 1 trong hai alen của 1 gen quy định. Gen quy định nhóm máu ABO gồm 3 alen là IA , IB , IO nằm trên NST thường khác, người có kiểu gen IAIA hoặc IAIO có nhóm máu A; kiểu gen IBIB hoặc IBIO có nhóm máu B; kiểu gen IAIB có nhóm máu AB; kiểu gen IOIO có nhóm máu O. Biết rằng không xảy ra đột biển ở tất cả các cá thể trong phả hệ. Theo lí thuyết, xác suất đứa con trai của cặp vợ chồng ở thế hệ III không mang alen bệnh và dị hợp về gen quy định nhóm máu là bao nhiêu?


