Ôn thi Tốt nghiệp THPT môn Sinh học (Đề 2)
Từ khoá: biology_practicegraduation_examgrade_12full_exam
Bộ sưu tập: 📘 Tuyển Tập Bộ Đề Thi Ôn Luyện THPT Quốc Gia Môn Sinh Học Các Trường (2018-2025) - Có Đáp Án Chi Tiết 🧬📘 Tuyển Tập Đề Thi Tham Khảo Các Môn THPT Quốc Gia 2025 🎯
Số câu hỏi: 40 câuSố mã đề: 1 đềThời gian: 1 giờ
290,457 lượt xem 22,332 lượt làm bài
Quá trình nào sau đây tạo ra động lực đầu trên của dòng mạch gỗ?
Một trong những bằng chứng về sinh học phân tử chứng minh rằng tất cả các loài sinh vật đều có chung nguồn gốc là
Hình vẽ sau mô tả dạng đột biến cấu trúc nhiễm sắc thể nào?
Trường hợp gen cấu trúc bị đột biến thay thế 1 cặp G-X bằng 1 cặp A-T thì số liên kết hiđrô sẽ
Cừu Đôly được tạo ra là thành tựu của
Cơ thể nào sau đây, khi giảm phân bình thường không tạo được giao tử Ab?
Một quần thể thực vật có 2000 cây trong đó có 400 cây mang kiểu gen BB, 400 cây mang kiểu gen Bb, còn lại là số cây mang kiểu gen bb. Tần số alen B trong quần thể này là
Loài động vật nào sau đây có cơ quan tiêu hoá dạng túi?
Trường hợp nào sau đây tất cả các cá thể con đều có kiểu hình giống cá thể mẹ?
Cơ thể lưỡng bội (2n) có kiểu gen AABBDDEE. Có một thể đột biến số lượng NST mang kiểu gen AABBBDDEE. Thể đột biến này thuộc dạng
Trong một opêron, nơi enzim ARN pôlimeraza bám vào khởi động phiên mã là
Loài nào sau đây có cặp NST giới tính XY phát triển thành cá thể cái?
Trong các phát biểu sau, có bao nhiêu phát biểu đúng về mối quan hệ cạnh tranh giữa các cá thể?
I. Khi quan hệ cạnh tranh gay gắt thì các cá thể cạnh tranh yếu hơn sẽ bị đào thải ra khỏi quần thể.
II. Quan hệ cạnh tranh xảy ra khi mật độ cá thể của quần thể tăng lên quá cao, nguồn sống của môi trường không đủ cung cấp cho mọi cá thể trong quần thể.
III. Quan hệ cạnh tranh giúp duy trì số lượng cá thể ở mức độ phù hợp, đảm bảo sự tồn tại và phát triển của quần thể.
IV. Quan hệ cạnh tranh làm tăng nhanh kích thước của quần thể.
Ở cây hoa phấn (Mirabilis jalapa), gen quy định màu lá nằm trong tế bào chất. Lấy hạt phấn của cây lá xanh thụ phấn cho cây lá đốm. Theo lí thuyết, đời con có tỉ lệ kiểu hình là
Ở đậu Hà Lan, alen A quy định hạt vàng trội hoàn toàn so với alen a quy định hạt xanh. Phép lai (P): Aa × aa thu được đời con có tỉ lệ kiểu hình là
Theo quan niệm hiện đại, có bao nhiêu phát biểu dưới đây là đúng về chọn lọc tự nhiên?
I. Chọn lọc tự nhiên làm xuất hiện các alen mới và các kiểu gen mới trong quần thể.
II. Chọn lọc tự nhiên khó có thể loại bỏ hoàn toàn một alen lặn có hại ra khỏi quần thể.
III. Chọn lọc tự nhiên chống lại alen trội có thể nhanh chóng làm thay đổi tần số alen của quần thể.
IV. Chọn lọc tự nhiên tạo ra các kiểu gen quy định các kiểu hình thích nghi.
V. Chọn lọc tự nhiên phân hóa khả năng sống sót của các alen khác nhau trong quần thể theo hướng thích nghi.
Nội dung nào sau đây đúng về thể đa bội?
Có bao nhiêu nhận xét đúng với hình ảnh sau?
I. Đây là phương pháp dung hợp tế bào trần.
II. Đây là phương pháp gây đột biến.
III. Tạo được con lai mang 2 bộ NST khác nhau của 2 loài.
IV. Cây lai Pomato không có khả năng sinh sản hữu tính.
Khi nói về cấu trúc tuổi của quần thể, phát biểu nào sau đây là sai?
Khi nói về sự hình thành loài bằng con đường địa lí, điều nào sau đây không đúng?
Khi nói về quá trình phát sinh, sự phát triển của sự sống trên Trái Đất, phát biểu nào sau đây đúng?
Khi nói về mã di truyền, phát biểu nào sau đây đúng?
Khi nói về đột biến gen, phát biểu nào sau đây không đúng?
Trong thí nghiệm phát hiện hô hấp bằng việc thải khí CO2, phát biểu nào sau đây sai?
Khi nói về hệ tuần hoàn của của động vật, có bao nhiêu phát biểu sau đây đúng?
I. Tất cả các hệ tuần hoàn đều có tim, hệ mạch, dịch tuần hoàn.
II. Tất cả các loài động vật đều có hệ tuần hoàn.
III. Hệ tuần hoàn hở có hệ thống mao mạch nối động mạch với tĩnh mạch.
IV. Hệ tuần hoàn kép thường có áp lực máu chảy mạnh hơn so với hệ tuần hoàn đơn.
Nhân tố sinh thái nào sau đây là nhân tố vô sinh?
Ở người, bệnh máu khó đông do gen lặn nằm trên NST giới tính X gây nên (Xd), gen trội XD quy định máu đông bình thường. Một cặp vợ chồng sinh được một con trai bình thường và một con gái bị máu khó đông. Kiểu gen của cặp vợ chồng này là
Ở một loài thực vật, alen A quy định thân cao trội hoàn toàn so với alen a quy định thân thấp, alen B quy định hoa đỏ trội hoàn toàn so với alen b quy định hoa trắng. Cho P: cây thân cao, hoa trắng giao phấn với cây thân thấp, hoa đỏ, thu được F1. Theo lí thuyết, phát biểu sau đây không đúng?
Thế hệ xuất phát (P) của một quần thể ngẫu phối có 1000 cá thể với tỉ lệ kiểu gen là 0,36 AA : 0,48 Aa : 0,16 aa. Theo quan niệm tiến hóa hiện đại, có bao nhiêu phát biểu sau đây đúng?
I. Nếu có 200 cá thể có kiểu gen aa di cư từ quần thể khác đến thì khi quần thể thiết lập lại trạng thái cân bằng sẽ cấu trúc là 0,25 AA : 0,5 Aa : 0,25 aa.
II. Nếu sau một thế hệ, quần thể có cấu trúc di truyền F1 là 0,1 AA : 0,4 Aa : 0,5 aa thì rất có thể quần thể đã chịu tác động của nhân tố ngẫu nhiên.
III. Nếu cấu trúc di truyền của F1: 0,5 AA : 0,3 Aa : 0,2 aa; F2: 0,5 AA : 0,4 Aa : 0,1 aa; F3: 0,6 AA : 0,3 Aa : 0,1 aa thì chọn lọc tự nhiên đang chống lại alen trội.
IV. Nếu quần thể chuyển sang tự phối thì tần số alen ở các thế hệ tiếp theo sẽ không thay đổi.
Ở một loài thực vật lưỡng bội, alen A1 quy định hoa đỏ, alen A2 quy định hoa hồng, alen A3 quy định hoa vàng, alen a quy định hoa trắng. Các alen trội hoàn toàn theo thứ tự A1 > A2 > A3 > a. Theo lí thuyết, phát biểu nào dưới đây đúng?
Giả sử trong quá trình giảm phân của cơ thể cái, cặp NST mang cặp gen Bb ở một số tế bào không phân li trong giảm phân 1, giảm phân 2 diễn ra bình thường. Quá trình giảm phân của cơ thể đực diễn ra bình thường. Ở phép lai ♂ AaBB × ♀aaBb sẽ sinh ra thể ba có kiểu gen là
Nghiên cứu sự thay đổi thành phần kiểu gen của quần thể sau 5 thế hệ liên tiếp thu được kết quả như sau:
| Thế hệ | AA | Aa | aa |
| F1 | 0,64 | 0,32 | 0,04 |
| F2 | 0,64 | 0,32 | 0,04 |
| F3 | 0,24 | 0,52 | 0,24 |
| F4 | 0,16 | 0,48 | 0,36 |
| F5 | 0,09 | 0,42 | 0,49 |
Một loài thực vật, màu sắc hoa do 3 cặp gen phân li độc lập quy định. Khi tiến hành phép lai giữa các cây, người ta thu được kết quả sau:
| Phép lai | Thế hệ P | Tỉ lệ kiểu hình F1 |
| 1 | Cây hoa vàng tự thụ phấn | 9 cây hoa vàng : 7 cây hoa trắng |
| 2 | Cây hoa đỏ | 1 cây hoa đỏ : 1 cây hoa vàng : 6 cây hoa trắng |
Biết không xảy ra đột biến. Theo lí thuyết, cây hoa trắng của loài này có số loại kiểu gen tối đa là
Phân tích hình về sơ đồ biến động của quần thể con mồi và quần thể vật ăn thịt, hãy cho biết trong các phát biểu sau đây có bao nhiêu phát biểu đúng?
I. Nếu quần thể M là thỏ rừng thì quần thể N có thể là mèo rừng.
II. Kích thước tối đa của quần thể M là trên 140000 cá thể.
III. Quần thể N biến động theo chu kì nhiều năm.
IV. Có những thời điểm, quần thể N đang tăng số lượng nhưng quần thể M lại đang giảm số lượng.
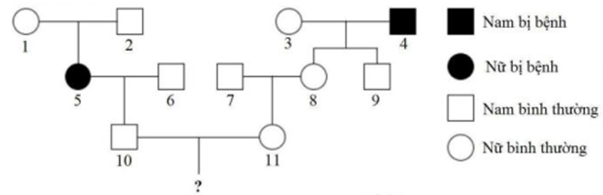
Phả hệ sau đây mô tả sự di truyền của một bệnh ở người do 1 trong 2 alen của 1 gen quy định:
Cho biết quần thể đang cân bằng di truyền và tỉ lệ người bị bệnh ở trong quần thể là 4%, không phát sinh đột biến. Theo lí thuyết, có bao nhiêu phát biểu sau đây đúng?
I. Có tối đa 6 người có kiểu gen đồng hợp tử.
II. Xác suất người số 7 có kiểu gen đồng hợp là 2/5.
III. Xác suất sinh con không bị bệnh của cặp vợ chồng 10 – 11 là 19/22.
IV. Xác suất sinh con không mang alen bệnh của cặp vợ chồng 10 – 11 là 4/11.
Xét một đoạn trình tự mARN nhân tạo 5’AUG UAU UGG3’. Thứ tự các nuclêôtit tương ứng là: 123 456 789. Cho biết: 5’AUG3’ quy định Met; 5’UAU3’ và 5’UAX3’ quy định Tyr; 5’UGG3’ quy định Trp; 5’UAA3’, 5’UAG3’, 5’UGA3’ kết thúc dịch mã. Trong các dự đoán sau đây, có bao nhiêu dự đoán đúng?
I. Nếu nuclêôtit thứ 6 bị thay thành A thì chuỗi pôlipeptit tương ứng không thay đổi.
II. Nếu nuclêôtit thứ 9 bị thay thành A thì chuỗi pôlipeptit tương ứng sẽ bị ngắn hơn chuỗi bình thường.
III. Nếu nuclêôtit thứ 6 bị thay thành X thì chuỗi pôlipeptit tương ứng không thay đổi.
IV. Nếu nuclêôtit thứ 8 bị thay thành A thì chuỗi pôlipeptit tương ứng sẽ dài hơn chuỗi bình thường.
1 mã đề 28 câu hỏi
1 mã đề 18 câu hỏi
1 mã đề 41 câu hỏi
1 mã đề 28 câu hỏi
1 mã đề 50 câu hỏi

