50 câu trắc nghiệm Phương trình, Hệ phương trình cơ bản
Ôn tập Toán 10 Chương 3
Lớp 10;Toán
Số câu hỏi: 50 câuSố mã đề: 2 đềThời gian: 1 giờ
166,975 lượt xem 12,831 lượt làm bài
Điều kiện xác định của phương trình là:
Giá trị là điều kiện xác định của phương trình




Điều kiện xác định của phương trình là:




Điều kiện xác định của phương trình là:




Điều kiện xác định của phương trình là:




Phương trình tương đương với phương trình 2x -5 = 0là:




Phương trình hệ quả của phương trình là:
Phương trình là phương trình hệ quả của phương trình . Khi đó nghiệm ngoại lai là:
Số nghiệm của phương trình là:
Số nghiệm của phương trình là:
Số nghiệm của phương trình là:
Số nghiệm của phương trình là:
Nghiệm lớn nhất của phương trình




Nghiệm nhỏ nhất của phương trình là:




Tổng các nghiệm của phương trình |4x-1| = x+8 là:




Tích các nghiệm của phương trình là:




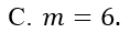
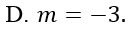
Giá trị của tham số m để phương trình có vô số nghiệm là:

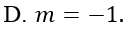
Giá trị của tham số m để phương trình có nghiệm duy nhất x = 0




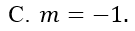
Cho phương trình . Giá trị m để x = 1 là nghiệm của phương trình là:




Cho phương trình . Đặt . Khi đó, phương trình đã cho trở thành phương trình




Trong các khẳng định sau, khẳng định sai là:




Cho phương trình Khẳng định nào sau đây về phương trình đúng?
Cho phương trình Kết luận nào sau đây đúng?
Nếu a là nghiệm của phương trình | x - 1 | = 2x+3 thì a thuộc khoảng
Tập nghiệm của phương trình là:




2 mã đề 50 câu hỏi
1 mã đề 50 câu hỏi
2 mã đề 50 câu hỏi
1 mã đề 50 câu hỏi
2 mã đề 50 câu hỏi