255 Bài trắc nghiệm Hàm số mũ và Logarit cơ bản nâng cao cực hay có lời giải
Lớp 12;Toán
Số câu hỏi: 254 câuSố mã đề: 7 đềThời gian: 1 giờ
172,734 lượt xem 13,277 lượt làm bài
Cho Chọn phát biểu đúng.
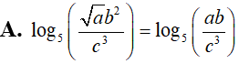
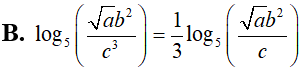
Cho a,b,c là các số thực dương. Đẳng thức nào dưới đây đúng.




Tìm m để bất phương trình có nghiệm.
Mệnh đề nào dưới đây là đúng?

Tính giá trị của
Biết ta có . Khi đó:
Đẳng thức nào dưới đây đúng
Tìm các giá trị để hệ có nghiệm.
Giải bất phương trình: .
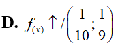
Cho hàm số . Chọn phát biểu đúng.

Cho . Tính .
Giải phương trình (a là tham số).
Biết và . Tìm GTLN của
Chọn mệnh đề đúng.
Cho (C): . Chọn phát biểu đúng về tiệm cận của (C) .
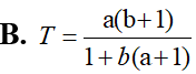
Cho a, b, c là các số thực không âm và a + b ≠ 0
Tìm =
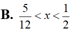
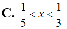
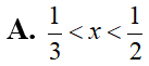
Tìm tập nghiệm S của bất phương trình:
Cho ba số thực dương a,b,c thỏa mãn : . Hãy chọn mệnh đề đúng
Đặt . Khi đó đẳng thức nào dưới đây đúng và a 1.

Tìm tập nghiệm S của phương trình
Tìm m để phương trình sau có nghiệm: (*)
Cho . Tính f ' (2).
Đường cong ở bên là đồ thị của hàm số nào dưới dây?

Tìm giá trị nhỏ nhất của a để hệ có nghiệm.
Cho với .Tính u ’(1)
Gọi G là tập giá trị của hàm số . Tìm G.
Tìm m để phương trình: có nghiệm:
Cho . Tính y’(1).
Tìm tập nghiệm s của bất phương trình:
Tìm m để hệ có nghiệm
Cho hàm số y= . Khi đó:
y nghịch biến trên khoảng ( - ; 2).
Tính tổng
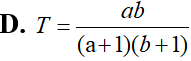
Đặt a = log2 3; b = log5 6. Tính T = log15 6 theo a, b.


Cho và . Khi đó E ≥ F khi và chỉ khi:
Tìm giá trị G của hàm số
Cho Giải phương trình
Giải bất phương trình


Cho Chọn phát biểu đúng.
Giải bất phương trình
Giải phương trình =3

