234 bài trắc nghiệm Hàm số mũ và Logarit từ đề thi Đại học cực hay có lời giải
Lớp 12;Toán
Số câu hỏi: 179 câuSố mã đề: 6 đềThời gian: 1 giờ
179,430 lượt xem 13,795 lượt làm bài
Một người muốn có 1 tỉ tiền tiết kiệm sau 6 năm gửi ngân hàng bằng cách bắt đầu từ ngày 01/01/2019 đến 31/12/2024, vào ngày 01/01 hàng năm người đó gửi vào ngân hàng một số tiền bằng nhau với lãi suất ngân hàng là 7% /1 năm (tính từ ngày 01/01 đến ngày 31/12) và lãi suất hàng năm được nhập vào vốn. Hỏi số tiền mà người đó phải gửi vào ngân hàng hàng năm là bao nhiêu (với giả thiết lãi suất không thay đổi và số tiền được làm tròn đến đơn vị đồng)?
Trong các hàm số sau, hàm số nào nghịch biến trên ?



Cho các số thực dương a,b thỏa mãn . Tính
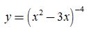
Tập xác định của hàm số là
Tổng các nghiệm của phương trình bằng
Phương trình có một nghiệm dạng với là các số nguyên dương thuộc khoảng . Khi đó bằng
Tập nghiệm của phương trình là

Cho và . Tính giá trị biểu thức .
Cho ba số thực dương a, b, c khác 1. Đồ thị các hàm số được cho trong hình vẽ bên. Mệnh đề nào dưới đây đúng?


Tìm tập xác định D của hàm số
Tìm tập xác định D của hàm số ![]()
Rút gọn biểu thức với ?
Tìm nghiệm của phương trình .

Số nghiệm của phương trình
Cho . Khẳng định nào sai?
Tìm m của hàm số đồng biến trên khoảng .
Tìm tất cả các giá trị của m để phương trình có nghiệm .

Cho x, y, z là các số thực thỏa mãn điều kiện . Tìm giá trị lớn nhất của biểu thức




Tìm tất cả các giá trị của tham số m để phương trình có hai nghiệm trái dấu
Trong các mệnh đề sau, mệnh đề nào SAI?

Giải bất phương trình .
Biết là tập tất cả các giá trị của tham số m để bất phương trình thỏa mãn với mọi x thuộc . Tính
Tìm tập xác định của hàm số ![]()
Mệnh đề nào trong các mệnh đề dưới đây sai?
Hàm số đồng biến trên .
Hàm số đồng biến trên .
Hàm số nghịch biến trên khoảng .
Hàm số đồng biến trên .
Cho các hàm số lũy thừa có đồ thị như hình vẽ. Mệnh đề đúng là:

Cho các số thực a,b sao cho , biết rằng đồ thị các hàm số và cắt nhau tại điểm . Mệnh đề nào dưới đây đúng?
Một người lần đầu gửi vào ngân hàng 100 triệu đồng theo thể thức lãi kép (tức là tiền lãi của kỳ trước được cộng vào vốn của kỳ kế tiếp) với kì hạn 3 tháng, lãi suất 2% một quý. Sau đúng 6 tháng, người đó gửi thêm 100 triệu đồng với kỳ hạn và lãi suất như trước đó. Tổng số tiền người đó nhận được sau
năm gửi tiền vào ngân hàng gần bằng với kết quả nào sau đây. Biết rằng trong suốt thời gian gửi tiền lãi suất ngân hàng không thay đổi và người đó không rút tiền ra.
Số các giá trị nguyên của tham số m để hàm số xác định trên là:
Cho hàm số . Hàm số xác định trên tập nào dưới đây?
Cho biểu thức , trong đó là phân số tối giản. Gọi . Khẳng định nào sau đây đúng?

