(2023) Đề thi thử Vật Lý THPT Trần Nhân Tông, Nam Định có đáp án
Từ khoá: Đề thi thử Vật lý 2023 Trần Nhân Tông Nam Định Đáp án chi tiết Luyện thi Ôn tập Tốt nghiệp Học sinh
Bộ sưu tập: 📘 Tuyển Tập Bộ Đề Thi Ôn Luyện THPT Quốc Gia Môn Vật Lý Các Tỉnh (2018-2025) - Có Đáp Án Chi Tiết 📘 Tuyển Tập Đề Thi Tham Khảo Các Môn THPT Quốc Gia 2025 🎯
Số câu hỏi: 40 câuSố mã đề: 1 đềThời gian: 1 giờ
256,681 lượt xem 19,731 lượt làm bài
Một vật dao động điều hòa, khi vật đi qua vị trí cân bằng thì
Chọn hệ thức đúng về mối liên hệ giữa x, A, v, ω trong dao động điều hòa
Một vật dao động điều hòa theo phương trình x = 6cos(4πt) cm. Tần số dao động của vật là
Công thức tính chu kỳ dao động của con lắc lò xo là
Một con lắc lò xo có khối lượng m, lò xo có độ cứng k. Nếu tăng độ cứng lò xo lên hai lần và đồng thời giảm khối lượng vật nặng đi một nửa thì chu kỳ dao động của vật
Một con lắc lò xo dao động điều hòa, vật có khối lượng m = 0,2 kg, lò xo có độ cứng k = 50 N/m. Chu kỳ dao động của con lắc lò xo là (lấy π2 =10)
Một con lắc đơn chiều dài ℓ dao động điều hòa tại nơi có gia tốc trọng trường g với biên độ góc nhỏ. Tần số của dao động là
Tại nơi có gia tốc trọng trường g = 9,8 m/s2, một con lắc đơn có chiều dài dây treo ℓ = 20 cm dao động điều hòa. Tần số góc dao động của con lắc là
Nhận xét nào sau đây là không đúng?
Một con lắc đơn có độ dài 30 cm được treo vào tàu, chiều dài mỗi thanh ray 12,5 m ở chỗ nối hai thanh ray có một khe hở hẹp, lấy g = 9,8 m/s2. Tàu chạy với vận tốc nào sau đây thì con lắc đơn dao động mạnh nhất:
Một vật thực hiện đồng thời hai dao động điều hòa cùng phương, theo các phương trình x1 = 4cos(πt + φ) cm và x2 = 4 cos(πt) cm. Biên độ dao động tổng hợp đạt giá trị nhỏ nhất khi
Dao động tổng hợp của hai dao động điều hòa cùng phương, cùng tần số, biên độ A1 và A2 có biên độ
Một sóng cơ học có tần số ƒ lan truyền trong một môi trường tốc độ v. Bước sóng λ của sóng này trong môi trường là
Một sóng cơ có tần số 200 Hz lan truyền trong một môi trường với tốc độ 1500 m/s. Bước sóng λ là
Trong hiện tượng giao thoa sóng của hai nguồn kết hợp ngược pha, điều kiện để tại điểm M cách các nguồn d1, d2 dao động với biên độ cực tiểu là
Điều kiện có sóng dừng trên dây chiều dài ℓ khi một đầu dây cố định và đầu còn lại tự do là
Dòng điện trong chất điện phân là dòng chuyển dời có hướng của
Dòng điện không đổi là dòng điện có
Âm do các nhạc cụ khác nhau phát ra ℓuôn khác nhau về
Cường độ dòng điện trong mạch không phân nhánh có dạng i =2 cos100πt A/ Cường độ hiệu dụng trong mạch là
Một khung dây dẫn phẳng gồm N vòng dây, diện tích khung dây là S trong một từ trường đều cảm ứng từ B Cho khung dây quay đều với tốc độ góc ω quanh một trục nằm trong mặt phẳng của khung và vuông góc với các đường sức từ. Suất điện động cảm ứng trên khung dây có giá trị hiệu dụng là
A. wNBS B. NBS/w C. wNBS/ D. wNBS.
Một mạch điện xoay chiều chỉ có cuộn thuần cảm, mối quan hệ về pha của u và i trong mạch là
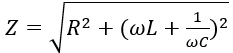
Cho mạch điện xoay chiều RLC nối tiếp. Đặt vào hai đầu đoạn mạch một điện áp u = U0cos(ωt) V. Công thức tính tổng trở của mạch là




Mạch điện xoay chiều gồm RLC mắc nối tiếp, có R = 30 Ω, ZC = 20 Ω, ZL = 60 Ω. Tổng trở của mạch là
Tốc độ truyền âm trong không khí là 330 m/s, trong nước là 1435 m/s. Một âm có bước sóng trong không khí là 50 cm thì khi truyền trong nước có bước sóng là
Đặt vào hai bản tụ điện có điện dung C =10-4/π (F) một điện áp xoay chiều u = 120cos(100πt –π/6) V. Chọn biểu thức đúng về cường độ dòng điện trong mạch điên qua tụ điện?
Một sợi dây đàn hồi dài 60 cm, được rung với tần số ƒ = 50 Hz, trên dây tạo thành một sóng dừng ổn định với 4 bụng sóng. Tốc độ truyền sóng trên dây là
Hai nguồn kết hợp A và B dao động cùng tần số ƒ = 30 Hz, cùng biên độ A = 2 cm nhưng ngược pha nhau. Coi biên độ sóng không đổi, tốc độ truyền sóng v = 90 cm/s. Biên độ dao động tổng hợp tại điểm M cách A, B một đoạn AM=15 cm, BM=13 cm bằng
Chiết suất của thuỷ tinh bằng , chết suất của không khí bằng 1. Góc giới hạn phản xạ toàn phần tại mặt phân cách giữa thuỷ tinh với không khí bằng
Một lò xo có độ cứng k mắc với vật nặng m1 có chu kỳ dao động T1 = 1,8 (s). Nếu mắc lò xo đó với vật nặng m2 thì chu kỳ dao động là T2 = 2,4 (s). Chu kỳ dao động khi ghép m1 và m2 với lò xo nói trên:
Hai nguồn sóng S1 và S2 dao động cùng pha, với tần số 100Hz. Khoảng cách S1S2 = 10 cm. Tốc độ truyền sóng nước là 1,2 m/s. Số điểm dao động với biên độ cực đại trên đoạn S1S2 là
Trên dây có sóng dừng hai đầu cố định, biên độ dao động của phần tử trên dây tại bụng sóng là 2a, bước sóng λ. Tại một điểm trên dây có VTCB cách một nút một đoạn λ/12 có biên độ dao động là
Có hai điện tích điểm q1 = 2.10-6 C; q1 = 10-6 C được đặt cách nhau 3 cm trong chân không. Lực tương tác giữa hai điện tích có độ lớn là
Một lò xo được treo thẳng đứng, đầu trên của lò xo được giữ cố định, đầu dưới treo vật m =100 g, lò xo có độ cứng k = 25 N/m. Kéo vật rời khỏi VTCB theo phương thẳng đứng hướng xuống dưới một đoạn bằng 2 cm rồi truyền cho vật một vận tốc 10π cm/s theo phương thẳng đứng, chiều hướng lên. Chọn gốc thời gian là lúc truyền vận tốc cho vật. Cho g =10 m/s2 = π2. Xác định thời điểm vật đi qua vị trí mà lò xo bị dãn 2 cm lần đầu tiên.
Tại một nơi có hai con lắc đơn đang dao động với các biên độ nhỏ. Trong cùng một khoảng thời gian, người ta thấy con lắc thứ nhất thực hiện được 4 dao động, con lắc thứ 2 thực hiện được 5 dao động. Tổng chiều dài của hai con lắc là 164 cm. Chiều dài của mỗi con lắc lần lượt là:
Một vật tham gia đồng thời hai dao động điều hòa cùng phương, có phương trình lần lượt là x1 = 3cos(πt + φ1) cm và x2 = 4cos(πt + π/3) cm (biết ). Khi biên độ dao động tổng hợp có giá trị A = 5 cm thì pha ban đầu của dao động thứ nhất là
một mạch điện RLC nối tiếp như hình vẽ. Biết L = (H), C = (F). Đặt vào hai đầu đoạn mạch một điện áp có biểu thức u = U0cos100πt V thì thấy điện áp uAN lệch pha so với u. Giá trị R là
Mạch điện gồm điện trở thuần R, cuộn cảm thuần L có độ tự cảm thay đổi được và tụ điện C mắc nối tiếp vào điện áp xoay chiều có giá trị hiệu dụng và tần số không đổi. Ban đầu, điện áp hiệu dụng trên các phần tử R, L, C lần lượt là UR = 60 V; UL = 120 V; UC = 40 V. Thay đổi L để điện áp hiệu dụng trên nó là 100 V, khi đó điện áp hiệu dụng hai đầu điện trở R bằng
Một chất điểm dao động điều hoà dọc theo trục Ox, với O trùng với vị trí cân bằng của chất điểm. Đường biểu diễn sự phụ thuộc li độ x chất điểm theo thời gian t cho ở hình vẽ. Phương trình dao động của vật là
Một sóng hình sin đang truyền trên một sợi dây theo chiều dương của trục Ox. Hình vẽ mô tả hình dạng của sợi dây tại thời điểm t1 (đường nét đứt) và t2 = t1 + 0,3 (s) (đường liền nét). Tại thời điểm t2, vận tốc dao động của điểm N trên đây là
1 mã đề 40 câu hỏi

