[2022] Trường THPT Mai Hắc Đế - Đề thi thử THPT QG năm 2022 môn Sinh Học
Từ khoá: sinh học kỳ thi THPT Trường THPT Mai Hắc Đế tài liệu ôn thi đề thi thử bài tập trọng tâm đáp án chi tiết kiến thức lớp 12 bài tập vận dụng cao luyện thi hiệu quả
Bộ sưu tập: 📘 Tuyển Tập Bộ Đề Thi Ôn Luyện THPT Quốc Gia Môn Sinh Học Các Trường (2018-2025) - Có Đáp Án Chi Tiết 🧬📘 Tuyển Tập Đề Thi Tham Khảo Các Môn THPT Quốc Gia 2025 🎯
Số câu hỏi: 40 câuSố mã đề: 1 đềThời gian: 1 giờ
Ở cây lúa, nước chủ yếu được thoát qua cơ quan nào sau đây?
Loài động vật nào sau đây có hệ tuần hoàn hở?
Côđon nào sau đây quy định tổng hợp metionin?
Loại đột biến nào sau đây làm thay đổi cấu trúc của nhiễm sắc thể?
Cơ thể có kiểu gen AaBBDd giảm phân không có đột biến sẽ sinh ra bao nhiêu loại giao tử?
Ở một loài thực vật, gen A quy định hoa đỏ trội hoàn toàn so với alen a quy định hoa trắng, không xảy ra đột biến. Ở phép lai Aa × Aa, thu được F1 có số kiểu gen, số kiểu hình lần lượt là
Menden sử dụng đối tượng nào sau đây để nghiên cứu di truyền?
Cho biết: Giả sử trên 1 cặp NST xét 2 cặp gen và có hoán vị gen thì có 3 tế bào giảm phân sẽ tạo ra tối đa bao nhiêu loại giao tử?
Alen A quy định hoa đỏ, alen a quy định hoa trắng; gen nằm ở lục lạp. Lấy hạt phấn của cây hoa đỏ thụ phấn cho cây hoa trắng thì sẽ thu được đời con có tỉ lệ kiểu hình là
Cho biết: Một quần thể có thành phần kiểu gen là: 0,25AA: 0,70Aa : 0,05aa. Tần số của alen A là?
Phương pháp nào sau đây không thuộc công nghệ tế bào?
Nhân tố nào sau đây làm thay đổi tần số tương đối của các alen theo một hướng xác định?
Trong lịch sử phát triển của thế giới sinh vật, ở kỉ nào sau đây Dương xỉ phát triển mạnh, thực vật có hạt xuất hiện, Lưỡng cư ngự trị, phát sinh bò sát?
Quan sát số lượng cây cỏ mực ở trong một quần xã sinh vật, người ta đếm được 32 cây/m2. Số liệu trên cho ta biết được đặc trưng nào của quần thể?
Chọn ý đúng: Sinh quyển là gì?
Khi nói về quang hợp ở thực vật, phát biểu nào sau đây đúng?
Khi nói về tuần hoàn của động vật, phát biểu nào sau đây đúng?
Khi nói về đột biến gen, phát biểu nào sau đây đúng?
Cho biết cơ thể tứ bội giảm phân chỉ sinh ra giao tử lưỡng bội, mỗi gen quy định một tính trạng và alen trội là trội hoàn toàn. Theo lí thuyết, phép lai nào sau đây cho đời con có tỉ lệ phân li kiểu hình 5:1?
Trong trường hợp mỗi cặp tính trạng do một cặp gen quy định, alen trội là trội hoàn toàn. Tiến hành phép lai P: AaBbDd × AaBBdd, thu được F1. Theo lí thuyết, F1 có số cá thể thuần chủng về cả 3 tính trạng chiếm tỷ lệ
Một quần thể sinh vật ngẫu phối đang chịu tác động của chọn lọc tự nhiên, có cấu trúc di truyền ở các thế hệ như sau:
P: 0,25 AA + 0,50 Aa + 0,25 aa = 1.
F1: 0,20 AA + 0,44 Aa + 0,36 aa = 1.
F2: 0,16 AA + 0,38 Aa + 0,46 aa = 1.
F3: 0,09 AA + 0,21 Aa + 0,70 aa = 1.
Chọn lọc tự nhiên đã tác động lên quần thể trên theo hướng
Một quần thể sinh vật ngẫu phối đang chịu tác động của chọn lọc tự nhiên, có cấu trúc di truyền ở các thế hệ như sau:
P: 0,25 AA + 0,50 Aa + 0,25 aa = 1.
F1: 0,20 AA + 0,44 Aa + 0,36 aa = 1.
F2: 0,16 AA + 0,38 Aa + 0,46 aa = 1.
F3: 0,09 AA + 0,21 Aa + 0,70 aa = 1.
Chọn lọc tự nhiên đã tác động lên quần thể trên theo hướng
Khi nói về sự phân bố cá thể trong quần thể, phát biểu nào sau đây đúng?
Một cơ thể đực có kiểu gen AaBb tiến hành giảm phân tạo giao tử. Biết không xảy ra đột biến. Theo lí thuyết, có bao nhiêu phát biểu sau đây đúng?
I. Nếu chỉ có 1 tế bào giảm phân không có hoán vị thì chỉ sinh ra 2 loại giao tử.
II. Nếu chỉ có 2 tế bào giảm phân thì tối thiểu sẽ cho 2 loại giao tử.
III. Nếu chỉ có 3 tế bào giảm phân thì có thể sẽ sinh ra 4 loại giao tử với tỉ lệ 2:2:1:1.
IV. Nếu chỉ có 4 tế bào giảm phân tạo ra 4 loại giao tử thì mỗi loại giao tử luôn chiếm tỉ lệ 25%.
Cho biết các cô đon mã hóa các axit amin tương ứng như sau: GGX – Gly; XXG – Pro; GXX – Ala; GXU – Ala; XGG – Arg; XGA – Arg; UXG – Ser; AGX – Ser. Một đoạn mạch gốc của một gen ở vi khuẩn có trình tự các nuclêôtit là 5’GGX-XGA-XGG-GXX-XGA3’. Nếu đoạn mạch gốc này mang thông tin mã hóa cho đoạn pôlipeptit có 4 axit amin thì trình tự của 4 axit amin đó là
Khi nói về đột biến cấu trúc NST, phát biểu nào sau đây đúng?
Một loài thực vật, mỗi cặp gen quy định một cặp tính trạng, alen trội là trội hoàn toàn. Cây thân cao, hoa đỏ giao phấn với cây thân thấp, hoa trắng (P), thu được F1 có 100% cây thân cao, hoa đỏ. F1 tự thụ phấn, thu được F2 có 4 loại kiểu hình, trong đó cây thân thấp, hoa trắng chiếm 16%. Biết rằng không xảy ra đột biến nhưng xảy ra hoán vị gen ở cả 2 giới với tần số như nhau. Theo lí thuyết, phát biểu nào sau đây sai?
Theo thuyết tiến hóa hiện đại, có bao nhiêu phát biểu sau đây đúng?
I. Chọn lọc tự nhiên luôn làm thay đổi đột ngột tần số alen và thành phần kiểu gen của quần thể.
II. Quá trình tiến hóa nhỏ diễn ra trên quy mô quần thể và diễn biến không ngừng dưới tác động của các nhân tố tiến hóa.
III. Các yếu tố ngẫu nhiên làm nghèo vốn gen quần thể, giảm sự đa dạng di truyền nên luôn dẫn tới tiêu diệt quần thể.
IV. Khi không có tác động của các nhân tố: Đột biến, chọn lọc tự nhiên và di - nhập gen thì tần số alen và thành phần kiểu gen của quần thể sẽ không thay đổi
Khi nói về cạnh tranh giữa các cá thể cùng loài, có bao nhiêu phát biểu sau đây đúng?
I. Cạnh tranh cùng loài giúp duy trì ổn định số lượng và sự phân bố cá thể ở mức phù hợp với sức chứa môi trường.
II. Khi môi trường khan hiếm nguồn sống và mật độ cá thể quá cao thì cạnh tranh cùng loài diễn ra khốc liệt.
III. Cạnh tranh cùng loài tạo động lực thúc đẩy sự tiến hóa của loài.
IV. Cạnh tranh cùng loài làm mở rộng ổ sinh thái của loài, tạo điều kiện để loài phân li thành loài mới.
Khi nói về thành phần của hệ sinh thái, Số phát biểu đúng là?
I. Một hệ sinh thái luôn có các loài sinh vật và môi trường sống của sinh vật.
II. Tất cả các loài thực vật đều được xếp vào nhóm sinh vật sản xuất.
III. Sinh vật phân giải có chức năng chuyển hóa chất vô cơ thành chất hữu cơ để cung cấp cho các sinh vật tiêu thụ trong hệ sinh thái.
IV. Xác chết của sinh vật được xếp vào thành phần hữu sinh của hệ sinh thái
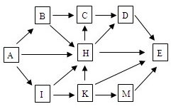
Một lưới thức gồm có 9 loài được mô tả như hình bên. Theo lí thuyết, có bao nhiêu phát biểu sau đây đúng?

I. Có 15 chuỗi thức ăn.
II. Chuỗi thức ăn dài nhất có 6 mắt xích.
III. Nếu loài K bị tuyệt diệt thì loài lưới thức ăn này có tối đa 7 loài.
IV. Nếu loài E bị con người đánh bắt làm giảm số lượng thì loài M sẽ tăng số lượng
Gen A quy định tổng hợp chuỗi polipeptit có 36 axit amin. Gen A bị đột biến điểm trở thành alen a. Theo lí thuyết, có bao nhiêu phát biểu sau đây đúng?
I. Alen a có thể nhiều hơn alen A 2 nuclêôtit.
II. Alen a có thể nhiều hơn alen A 2 liên kết hiđrô.
III. Chuỗi pôlipeptit do alen a quy định có thể chỉ có 20 axit amin.
IV. Nếu chuỗi polipeptit do alen a quy định tổng hợp có 50 axit amin thì chứng tỏ đây là đột biến mất cặp nuclêôtit
Một loài thực vật, alen A quy định thân cao trội hoàn toàn so với alen a quy định thân thấp. Cơ thể tứ bội giảm phân chỉ sinh ra giao tử lưỡng bội, các giao tử lưỡng bội có khả năng thụ tinh bình thường. Thực hiện phép lai P: AAaa × aaaa thu được F1. Tiếp tục cho F1 lai phân tích, thu được Fa. Theo lí thuyết, Fa có tỉ lệ kiểu hình:
Ở một loài thực vật lưỡng bội, alen A quy định thân cao trội hoàn toàn so với alen a quy định thân; alen B quy định hoa đỏ trội hoàn toàn so với alen b quy định hoa trắng, các gen phân li độc lập. Biết không xảy ra đột biến. Theo lí thuyết, có bao nhiêu phát biểu sau đây đúng?
I. Cho cây aaBb lai phân tích thì đời con có 2 loại kiểu hình, trong đó cây thân thấp, hoa trắng chiếm 50%.
II. Cho cây thân cao, hoa trắng tự thụ phấn, nếu đời F1 có 2 loại kiểu hình thì chứng tỏ F1 có 3 loại kiểu gen.
III. Cho cây thân cao, hoa đỏ (P) tự thụ phấn, thu được F1. Nếu F1 có thân thấp, hoa trắng thì chứng tỏ F1 có 9 loại kiểu gen.
IV. Các cây thân thấp, hoa đỏ giao phấn ngẫu nhiên thì đời con có tối đa 3 kiểu gen
Một loài thú, cho con đực mắt trắng, đuôi dài giao phối với con cái mắt đỏ, đuôi ngắn (P), thu được F1 có 100% con mắt đỏ, đuôi ngắn. Cho F1 giao phối với nhau, thu được F2 có: 50% cá thể cái mắt đỏ, đuôi ngắn; 21% cá thể đực mắt đỏ, đuôi ngắn; 21% cá thể đực mắt trắng, đuôi dài; 4% cá thể đực mắt trắng, đuôi ngắn; 4% cá thể đực mắt đỏ, đuôi dài. Biết mỗi cặp tính trạng do một cặp gen quy định và không xảy ra đột biến. Theo lí thuyết, có bao nhiêu phát biểu sau đây đúng?
I. Đời F2 có 8 loại kiểu gen.
II. Quá trình giảm phân của cơ thể cái đã xảy ra hoán vị gen với tần số 16%.
III. Lấy ngẫu nhiên 1 cá thể cái ở F2, xác suất thu được cá thể thuần chủng là 42%.
IV. Nếu cho con cái F1 lai phân tích thì sẽ thu được Fa có các cá thể đực mắt đỏ, đuôi dài chiếm 4%
Ở một loài thực vật, alen A quy định thân cao trội hoàn toàn so với alen a quy định thân thấp; alen B quy định hoa đỏ trội hoàn toàn so với alen b quy định hoa trắng; alen D quy định quả tròn trội hoàn toàn so với alen d quy định quả dài. Cho cây thân cao, hoa đỏ, quả tròn (P) tự thụ phấn, thu được F1 có tỉ lệ: 6 cây thân cao, hoa đỏ, quả tròn : 3 cây thân cao, hoa đỏ, quả dài : 3 cây thân thấp, hoa đỏ, quả tròn : 2 cây thân cao, hoa trắng, quả tròn : 1 cây thân cao, hoa trắng, quả dài : 1 cây thân thấp, hoa trắng, quả tròn. Biết không xảy ra đột biến. Theo lí thuyết, có bao nhiêu phát biểu sau đây đúng?
I. Các cặp gen phân li độc lập với nhau.
II. F1 có tối đa 21 kiểu gen.
III. Cho cây P lai phân tích thì có thể sẽ thu được đời con có 25% số cây thân cao, hoa trắng, quả dài.
IV. Nếu F1 chỉ có 9 kiểu gen thì khi lấy ngẫu nhiên 1 cây thân cao, hoa đỏ, quả tròn ở F1. Xác suất thu được cây dị hợp về cả 3 cặp gen là 2/3
Ở một loài thực vật, cho cây quả dẹt, hoa đỏ (P) tự thụ phấn, thu được F1 có kiểu hình phân li theo tỉ lệ: 6 cây quả dẹt, hoa đỏ : 5 cây quả tròn, hoa đỏ : 3 cây quả dẹt, hoa trắng : 1 cây quả tròn, hoa trắng : 1 cây quả dài, hoa đỏ. Biết rằng cặp gen Dd quy định tính trạng màu hoa và không xảy ra đột biến, không có hoán vị gen. Theo lí thuyết, có bao nhiêu phát biểu sau đây đúng?
I. Cây P có thể có kiểu gen là Aa
II. Lấy ngẫu nhiên 1 cây quả tròn, hoa đỏ ở F1, xác suất thu được cây thuần chủng là 20%.
III. Cho một cây quả quả tròn, hoa đỏ tự thụ phấn thì có thể thu được đời con có 50% số cây quả tròn, hoa đỏ.
IV. Cho P lai phân tích thì đời con có 4 loại kiểu hình với tỉ lệ 1:1:1:1
Một quần thể động vật giao phối, màu sắc cánh do 1 gen gồm 4 alen nằm trên nhiễm sắc thể thường quy định. Trong đó, alen A1 quy định cánh đen trội hoàn toàn so với alen A2, alen A3 và alen A4; Alen A2 quy định cánh xám trội hoàn toàn so với alen A3 và A4; Alen A3 quy định cánh vàng trội hoàn toàn so với alen A4 quy định cánh trắng. Một quần thể đang ở trạng thái cân bằng di truyền có 51% con cánh đen; 13% con cánh xám; 32% con cánh vàng; 4% con cánh trắng. Biết không xảy ra đột biến. Theo lí thuyết, có bao nhiêu phát biểu sau đây đúng?
I. Nếu chỉ có các cá thể cánh đen giao phối ngẫu nhiên thì sẽ thu được đời con có 1/289 số cá thể cánh xám thuần chủng.
II. Nếu chỉ có các cá thể cánh đen giao phối ngẫu nhiên thì sẽ thu được đời con có 10/17 số cá thể cánh đen thuần chủng.
III. Nếu loại bỏ toàn bộ các cá thể cánh trắng, sau đó cho các cá thể còn lại giao phối ngẫu nhiên thì sẽ thu được đời con có 5/16 số cá thể cánh đen thuần chủng.
IV. Nếu loại bỏ toàn bộ các cá thể cánh xám, sau đó cho các cá thể còn lại giao phối ngẫu nhiên thì sẽ thu được đời con có 1/841 số cá thể cánh xám thuần chủng
Sơ đồ phả hệ dưới đây mô tả sự di truyền hai bệnh ở người do gen này nằm ở vùng không tương đồng của nhiễm sắc thể giới tính X quy định.

Biết rằng không xảy ra đột biến. Theo lí thuyết, có bao nhiêu phát biểu sau đây đúng?
I. Người số 3 dị hợp về bệnh P.
II. Người số 5 có kiểu gen dị hợp về cả hai cặp gen.
III. Có thể biết được kiểu gen của 6 người trong số 9 người nói trên.
IV. Nếu cặp vợ chồng số 5, 6 sinh đứa con thứ 2 bị cả 2 bệnh thì người số 5 có hoán vị gen.
1 mã đề 40 câu hỏi
1 mã đề 40 câu hỏi

