[2021] Trường THPT Phạm Công Bình - Đề thi thử THPT QG năm 2021 môn Sinh
Bộ sưu tập: 📘 Tuyển Tập Bộ Đề Thi Ôn Luyện THPT Quốc Gia Môn Sinh Học Các Trường (2018-2025) - Có Đáp Án Chi Tiết 🧬📘 Tuyển Tập Đề Thi Tham Khảo Các Môn THPT Quốc Gia 2025 🎯
Số câu hỏi: 40 câuSố mã đề: 1 đềThời gian: 1 giờ
210,016 lượt xem 16,140 lượt làm bài
Có các loại môi trường sống cơ bản là gì?
Định nghĩa cơ quan thoái hoá là:
Ở một loài đậu, tính trạng hạt nâu do gen B quy định là trội hoàn toàn so với tính trạng hạt trắng do gen b quy định. Cho đậu hạt nâu giao phấn với đậu hạt nâu, F1 thu được 601 hạt nâu : 199 hạt trắng. Kiểu gen của P là
Cơ thể mang kiểu gen Aa khi giảm phân bình thường cho tỷ lệ giao tử là:
Phân tử ADN gồm 3000 nuclêôtít có số nuclêôtit Timin chiếm 20%. Số nuclêôtit mỗi loại trong phân tử ADN này là:
Ở một loài thực vật biết rằng: A-: thân cao, aa: thân thấp; BB: hoa đỏ, Bb: hoa hồng, bb: hoa trắng. Hai tính trạng, chiều cao của thân vào màu hoa di truyền độc lập với nhau. Tỉ lệ của loại hợp tử AAbb được tạo ra từ phép lai AaBb x AaBb là:
Nhóm động vật có hiệu suất trao đổi khí cao nhất trên cạn là:
Chức năng của ARN ribôxôm (rARN) là gì?
Ở lúa, gen A quy định thân cao, a quy định thân thấp; B quy định hạt tròn, b quy định hạt dài. Phép lai cho đồng loạt thân cao, hạt tròn là
Đột biến gen liên quan đến một cặp nucleotit và làm tăng 2 liên kết hidro trong gen đó là trường hợp
Cây hấp thụ Canxi ở dạng nào?
Trong tạo giống cây trồng, để loại những gen không mong muốn ra khỏi nhiễm sắc thể, người ta vận dụng dạng đột biến nhiễm sắc thể nào sau đây?
Một quần thể có cấu trúc di truyền là 0,09 AA + 0,42 Aa + 0,49 aa = 1. Tần số tương đối của các alen trong quần thể là
Hình thức sống chung giữa 2 loài trong đó một loài có lợi còn loài kia không có lợi cũng không có hại gì thuộc mối quan hệ
Đối với quá trình tiến hoá nhỏ, chọn lọc tự nhiên:
Ý có nội dung không đúng khi nói về chuỗi và lưới thức ăn là
Các động mạch ở người có các đặc tính:
I. Luôn dẫn máu từ tim ra. II. Có thể dẫn máu từ tim ra hoặc trở về tim.
III. Luôn luôn mang máu giàu ôxy. IV. Có thể mang máu giàu ôxy hoặc giàu CO2
Chọn câu đúng :
Cho các hoạt động của con người sau đây:
I. Khai thác và sử dụng hợp lí các dạng tài nguyên có khả năng tái sinh.
II. Bảo tồn đa dạng sinh học.
III. Tăng cường sử dụng chất hóa học để diệt trừ sâu hại trong nông nghiệp.
IV. Khai thác và sử dụng triệt để nguồn tài nguyên khoáng sản.
Giải pháp của phát triển bền vững là các hoạt động
Cho các nhận định sau:
I. Pha tối chỉ diễn ra ở trong bóng tối.
II. Trong pha sáng diễn ra cần có ánh sáng.
III. Trong quang hợp, O2 được giải phóng từ phân tử nước qua quá trình quang phân li nước.
IV. Quá trình quang hợp ở các nhóm thực vật C3, C4, CAM giống nhau ở pha sáng quang hợp.
Số nhận định đúng trong các nhận định trên là:
Ở một loài thực vật lưỡng bội (2n = 8), các cặp nhiễm sắc thể tương đồng được kí hiệu là Aa, Bb, Dd và Ee. Do đột biến lệch bội đã làm xuất hiện thể một. Thể một này có bộ nhiễm sắc thể nào trong các bộ nhiễm sắc thể sau đây?
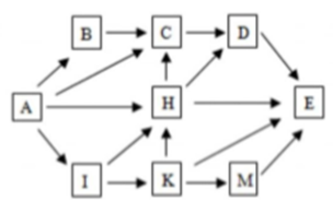
Giả sử lưới thức ăn sau đây gồm các loài sinh vật là A, B, C, D, E, H, I, K, M. Cho biết loài A là sinh vật sản xuất và loài E là sinh vật tiêu thụ bậc cao nhất. Có bao nhiêu phát biểu sau đây đúng?

I. Lưới thức ăn này có tối đa 12 chuỗi thức ăn.
II. Chuỗi thức ăn dài nhất trong lưới này có 6 bậc dinh dưỡng.
III. Loài H thuộc bậc dinh dưỡng cấp 2 và cấp 3.
IV. Loài H tham gia vào 9 chuỗi thức ăn.
Khi đề cập đến đột biến chuyển đoạn NST, có các nội dung sau:
I. Có thể liên quan đến nhiều NST khác nhau cùng đứt đoạn, sau đó trao đổi đoạn đứt với nhau.
II. Các đoạn trao đổi có thể xảy ra trong một cặp NST nhưng phải khác chức năng như NST X và Y.
III. Chuyển đoạn thường xảy ra giữa các cặp NST không tương đồng, hậu quả làm giảm sức sống của sinh vật.
IV. Chuyển đoạn không tương hỗ là trường hợp hai NST trao đổi cho nhau các đoạn không tương đồng.
Có bao nhiêu nội dung đúng khi cập đến đột biến chuyển đoạn nhiễm sắc thể?
Có bao nhiêu phát biểu sau đây về hệ sinh thái là không đúng?
I. Trong hệ sinh thái, sinh vật sản xuất là nhóm có khả năng truyền năng lượng từ quần xã tới môi trường vô sinh.
II. Bất kì sự gắn kết nào giữa các sinh vật với sinh cảnh đủ để tạo thành một chu trình sinh học hoàn chỉnh đều được xem là một hệ sinh thái.
III. Trong hệ sinh thái, sinh vật phân giải gồm các loài sống dị dưỡng như vi khuẩn, nấm…và một số vi khuẩn hóa tự dưỡng.
IV. Hệ sinh thái tự nhiên thường có tính ổn định cao hơn nhưng thành phần loài kém đa dạng hơn hệ sinh thái nhân tạo.
Theo quan niệm hiện đại, vai trò của giao phối ngẫu nhiên là:
I. Giúp phát tán đột biến trong quần thể.
II. Tạo biến dị tổ hợp là nguyên liệu cho quá trình tiến hóa.
III. Trung hòa bớt tính có hại của đột biến trong quần thể.
IV. Làm thay đổi tần số alen của quần thể dẫn đến hình thành loài mới.
Số nội dung đúng là:
Cho các phát biểu sau:
I. Khống chế sinh học thường dẫn đến sự cân bằng sinh học.
II. Ứng dụng khống chế sinh học trong bảo vệ thực vật bằng cách sử dụng thiên địch để trừ sâu.
III. Quần xã là tập hợp các quần thể sinh vật khác loài.
IV. Nơi quần xã sống gọi là sinh cảnh.
Số phát biểu đúng là:
Ở một loài thực vật, chiều cao cây do 2 cặp gen Aa và Bb quy định theo kiểu: Nếu trong kiểu gen có mặt cả 2 alen trội A và B thì cho kiểu hình thân cao, nếu thiếu một hoặc cả 2 alen trội nói trên thì cho kiểu hình thân thấp. Màu sắc hoa do 2 cặp gen Dd và Ee quy định theo kiểu: Gen E quy định màu hoa đỏ, gen e quy định màu hoa tím. Màu sắc hoa biểu hiện khi không có gen D. Nếu trong kiểu gen có gen D sẽ cho màu hoa trắng. Cho cây thân cao, hoa trắng (P) tự thụ phấn, thu được đời con F1 phân li theo tỉ lệ 6 cây cao, hoa trắng : 6 cây thấp, hoa trắng : 2 cây cao, hoa đỏ : 1 cây cao, hoa tím: 1 cây thấp, hoa đỏ. Biết các gen quy định các tính trạng này nằm trên NST thường, quá trình giảm phân không xảy ra đột biến và hoán vị gen. Có bao nhiêu nhận định đúng trong các nhận định sau:
I. Tính trạng chiều cao thân và màu sắc hoa di truyền phân li độc lập với nhau.
II. Vai trò của gen A và gen B trong sự hình thành tính trạng là ngang nhau.
III. Cây P có kiểu gen Ad/aDBe/bE hoặc Ae/aEBd/bD
IV. Cho cây P lai phân tích, thế hệ lai thu được tỉ lệ kiểu hình là 1:1:1:1.
Trong các phát biểu sau, có bao nhiêu phát biểu đúng về quá trình nhân đôi ADN (tái bản ADN) ở tế bào nhân thực?
I. Trong quá trình nhân đôi ADN, enzim nối ligaza chỉ tác động lên một trong hai mạch đơn mới được tổng hợp từ một phân tử ADN mẹ.
II. Trong một chu kì tế bào, ADN trong nhân thường nhân đôi nhiều lần.
III. Trong quá trình nhân đôi ADN, enzim ADN pôlimeraza tham gia tháo xoắn và làm tách 2 mạch của phân tử và tổng hợp mạch mới theo nguyên tắc bổ sung với mạch khuôn của ADN.
IV. Sự nhân đôi ADN xảy ra ở nhiều điểm trong mỗi phân tử ADN tạo ra nhiều đơn vị nhân đôi (đơn vị tái bản).
Cho các phép lai sau:
Phép lai 1: Giao phấn giữa hai cây thuần chủng thu được F1, cho F1 tiếp thục tự thụ phấn được F2 gồm 2 loại kiểu hình là 752 cây có quả tròn, ngọt và 249 cây quả dài, chua.
Phép lai 2: Giao phấn giữa 2 cây thuần chủng thu được F1. F1 tiếp tục tự thụ phấn thu được F2 gồm 3 loại kiểu hình là: 253 cây quả tròn, chua: 504 cây có quả tròn ngọt và 248 cây quả dài, ngọt Biết mỗi gen qui định 1 tính trạng và các gen luôn có hiện tượng liên kết hoàn toàn trên NST thường, các cơ thể mang lai nói trên đều thuộc cùng 1 loài.
Trong các kết luận sau có bao nhiêu kết luận có nội dung đúng?
I. Tính trạng dài, ngọt là những tính trạng trội hoàn toàn so với các tính trạng tròn, chua.
II. F1 trong phép lai 1 có kiểu gen dị hợp tử đều.
III. F1 trong phép lai 2 có kiểu gen dị hợp tử chéo.
IV. Cho F1 trong phép lai 1 thụ phấn với cây F1 trong phép lai 2 thì thế hệ lai có tỉ lệ kiểu gen bằng tỉ lệ kiểu hình.
Khi đem lai giữa cặp bố mẹ đều thuần chủng khác nhau về hai cặp tính trạng tương phản, đời F1 đồng loạt xuất hiện cây thân cao, chín sớm. Tiếp tục cho F1 lai với cây thân thấp, chín muộn, thu được thế hệ lai 4 kiểu hình như sau:
1996 cây thân cao, chín sớm. 2004 cây thân cao, chín muộn.
1998 cây thân thấp, chín sớm. 2003 cây thân thấp, chín muộn.
Cho các phát biểu sau:
I. Chưa thể xác định tính trạng nào là tính trạng trội, tính trạng nào là tính trạng lặn trong phép lai trên.
II. Hai cặp tính trạng chiều cao thân và thời gian chín di truyền độc lập với nhau.
III. P có thể có 4 sơ đồ lai phù hợp với kết quả của đề bài.
IV. Nếu muốn F1 phân li 3 : 1 về tính trạng kích thước, tính trạng về thời gian chín đồng tính thì P có thể là một trong 3 phép lai khác nhau.
Số phát biểu có nội dung đúng là:
Nhóm động vật nào sau đây hô hấp bằng hệ thống ống khí?
Quá trình tổng hợp chuỗi polipeptit diễn ra ở bộ phận nào của tế bào nhân thực?
Định luật Hacđi-Vanbec không có ý nghĩa là
Một số loài chim thường đậu trên lưng và nhặt các loại kí sinh trên cơ thể động vật móng guốc làm thức ăn. Mối quan hệ giữa chim nhỏ và động vật móng guốc nói trên thuộc mối quan hệ.
Nguyên tố nào sau đây là nguyên tố vi lượng?
Đặc điểm mà phương pháp nghiên cứu di truyền của Menđen không có là
Cơ thể có kiểu gen nào sau đây được xem là cơ thể thuần chủng?
Các vụ cháy rừng, bão lũ, dịch bệnh là các ví dụ về loại nhân tố tiến hoá
Phát biểu nào sau đây là đúng khi nói về NST?
Một đoạn mạch gốc của gen có trình tự các nuclêôtit 3'…TXG XXT GGA TXG…5'. Trình tự các nuclêôtit trên đoạn mARN tương ứng được tổng hợp từ gen này là
Đột biến giao tử là đột biến phát sinh
1 mã đề 50 câu hỏi
1 mã đề 50 câu hỏi

