[2020] Tuyển chọn số 25 - Đề thi thử tốt nghiệp THPT QG môn Sinh năm 2020
Bộ sưu tập: 📘 Tuyển Tập Bộ Đề Thi Ôn Luyện THPT Quốc Gia Môn Vật Lý Các Tỉnh (2018-2025) - Có Đáp Án Chi Tiết 📘 Tuyển Tập Đề Thi Tham Khảo Các Môn THPT Quốc Gia 2025 🎯
Số câu hỏi: 40 câuSố mã đề: 1 đềThời gian: 1 giờ
206,726 lượt xem 15,874 lượt làm bài
Ở ngô, quá trình thoát hơi nước chủ yếu diễn ra ở cơ quan nào sau đây?
Hệ mạch máu của người gồm: I. Động mạch; II. Tĩnh mạch; III. Mao mạch. Máu chảy trong hệ mạch theo chiều:
Động vật nào sau đây trao đổi khí với môi trường thông qua hệ thống ống khí?
Loại nuclêôtit nào sau đây không phải là đơn phân cấu tạo nên phân tử ADN?
Trong quá trình dịch mã, phân tử nào sau đây đóng vai trò như “ người phiên dịch”?
Axit amin là đơn phân cấu tạo nên phân tử nào sau đây?
Hình 1 là ảnh chụp bộ nhiễm sắc thể bất thường ở một người. Người mang bộ nhiễm sắc thể này:

Biết rằng không xảy ra đột biến. Theo lí thuyết, phép lai AABb x aabb đời con có bao nhiêu loại kiểu gen?
Theo lí thuyết, cơ thể nào sau đây có kiểu gen dị hợp tử về cả 2 cặp gen?
Theo lí thuyết, cơ thể có kiểu gen aaBB giảm phân cho giao tử aB chiếm tỉ lệ
Hiện tượng di truyền nào dựới đây làm hạn chế sự đa dạng của sinh giới?
Theo Menđen, với n cặp gen dị hợp phân li độc lập tự thụ phấn thì tỉ lệ phân li kiểu hình được xác định theo công thức nào?
Một trong những đặc điểm của thường biến là:
Hai loại enzim được sử dụng trong kĩ thuật chuyển gen là:
Khi nói về quần thể tự thụ phấn, phát biểu nào sau đây đúng?
Trong quá trình phát sinh và phát triển sự sống trên trái đất, loại chất hữu cơ mang thông tin di truyền đầu tiên là:
Theo thuyết tiến hóa hiện đại, quá trình phát sinh và phát triển của sự sống trên Trái Đất gồm các giai đoạn sau:
I. Tiến hóa hóa học II. Tiến hóa sinh học III. Tiến hóa tiền sinh học
Các giai đoạn trên diễn ra theo thứ tự đúng là:
Theo thuyết tiến hóa hiện đại, nhân tố nào sau đây chỉ làm thay đổi tần số kiểu gen mà không làm thay đổi tần số alen của quần thể?
Ở mối quan hệ nào sau đậy, một loài có lợi còn một loài trung tính?
Đặc trưng nào sau đây không phải là đặc trưng của quần thể giao phối?
Quan sát số lượng voi ở trong một quần xã sinh vật, người ta đếm được 125 con/km2. Số liệu trên cho ta biết được đặc trưng nào của quần thể?
Loài sinh vật A có giới hạn chịu đựng về nhiệt độ từ 21°C đến 35°C, giới hạn chịu đựng về độ ẩm từ 74% đến 96%. Trong 4 loại môi trường sau đây, loài sinh vật này có thể sống ở môi trường nào?
Khi nói về hô hấp ở động vật, phát biểu nào sau đây đúng?
Khi nói về quang hợp ở thực vật, có bao nhiêu phát biểu sau đây đúng?
I. Phân tử O2 được giải phóng trong quá trình quang hợp có nguồn gốc từ phân tử H2O.
II. Để tổng hợp được 1 phân tử glucôzơ thì pha tối phải sử dụng 6 phân tử CO2.
III. Pha sáng cung cấp ATP và NADPH cho pha tối.
IV. Pha tối cung cấp NADP+ và glucôzơ cho pha sáng.
Có mấy biện pháp bảo quản nông sản, thực phẩm, rau quả an toàn?
I. Bảo quản trong điều kiện nồng độ CO2 cao, gây ức chế hô hấp.
II. Bảo quản bằng cách ngâm đối tượng vào dung dịch hoá chất thích hợp.
III. Bảo quản khô.
IV.Bảo quản lạnh.
Dạng đột biến nào sau đây làm tăng số lượng alen của một gen trong tế bào nhưng không làm tăng số loại alen của gen này trong quần thể?
Một gen ở sinh vật nhân sơ dài 323 nm và có số nuclêôtit loại timin chiếm 18% tổng số nuclêôtit của gen. Theo lí thuyết, gen này có số nuclêôtit loại guanine là
Giả sử ở thế hệ xuất phát (P) của một quần thể ngẫu phối có tần số các kiểu gen là 0,64AA : 0,32Aa : 0,04aa.Biết rằng alen A trội hoàn toàn so với alen a. Theo thuyết tiến hóa hiện đại, phát biểu nào sau đây đúng?
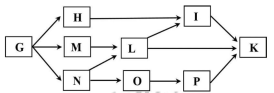
Giả sử lưới thức ăn trong một hệ sinh thái gồm các loài sinh vật G, H, I, K, L, M, N, O, P, được mô tả bằng sơ đồ ở hình bên.

Cho biết loại G là sinh vật sản xuất và các loài còn lại đều là sinh vật tiêu thụ. Phân tích lưới thức ăn này, có bao nhiêu phát biểu sau đây đúng?
I. Loài H thuộc bậc dinh dưỡng cấp 2
II. Loài L tham gia vào 4 chuỗi thức ăn khác nhau
III. Loài I có thể là sinh vật tiêu thụ bậc 3 hoặc bậc 4
IV. Loài P thuộc nhiều bậc dinh dưỡng khác nhau.
Khi xem xét quá trình biểu hiện gen trong mô hình operon Lactose của vi khuẩn E.coli, sản phẩm sau quá trình phiên mã là:
Ở một loài thực vật, alen A quy định hoa đỏ là trội hoàn toàn so với alen a quy định hoa trắng. Một thể đột biến tam nhiễm Aaa được hình thành do hiện tượng rối loạn không phân ly NST trong nguyên phân. Thể tam nhiễm có quá trình giảm phân tạo giao tử, các hạt phấn thừa 1 NST bị rối loạn quá trình sinh ống phấn nên ống phấn không phát triển. Nếu cây tam nhiễm trên tự thụ phấn, theo lý thuyết tỉ lệ kiểu hình xuất hiện ở đời con:
Ở cừu, tính trạng có sừng do gen có 2 alen qui định, trội lặn hoàn toàn, trong đó A qui định có sừng, a qui định không sừng. Kiểu gen Aa qui định có sừng ở cừu đực nhưng lại không có sừng ở cừu cái. Về lý thuyết phép lai nào sau đây cho đời con có tỉ lệ về kiểu hình, biết tỉ lệ giới tính đời con là 1:1?
Ở chim, chiều dài lông và dạng lông do hai cặp alen (A, a, B, b) trội lặn hoàn toàn quy định. Cho P thuần chủng có lông dài, xoăn lai với lông ngắn, thẳng, đời F1 thu được toàn lông dài, xoăn. Cho chim trống F1 lai với chim mái chưa biết kiểu gen, chim mái ở đời F2 xuất hiện kiểu hình: 20 chim lông dài, xoăn: 20 chim lông ngắn, thẳng: 5 chim lông dài, thẳng: 5 chim lông ngắn, xoăn. Tất cả chim trống của F2 đều có lông dài, xoăn. Biết một gen quy định một tính trạng và không có tổ hợp gen gây chết. Kiểu gen của chim mái lai với F1 và tần số hoán vị gen của chim trống F1 lần lượt là:
Tiến hành các phép lai thuận nghịch ở cây hoa phấn (Mirabilis jalapa) thu được kết quả như sau:
Lai thuận: P: ♀ lá xanh x ♂ lá đốm
F1: 100% lá xanh.
Lai nghịch: P: ♀ lá đốm x ♂ lá xanh
F1: 100% lá đốm.
Nếu cho cây F1 của phép lai thuận tự thụ phấn thì kiểu hình ở F2 như thế nào?
Một loài thực vật, alen A quy định hoa đỏ trội hoàn toàn so với alen a quy định hoa trắng. Phép lai P: AAxaa thu được các hợp tử F1. Sử dụng côsixin tác động lên các hợp tử F1, sau đó cho phát triển thành các cây F1. Cho các cây F1 tứ bội tự thu phấn, thu được F2. Cho tất cả các cây giao F2 phấn ngẫu nhiên, thu được F3. Biết rằng cây tứ bội giảm phân chỉ sinh ra giao tử lưỡng bội có khả năng thụ tinh. Theo lí thuyết, tỉ lệ kiểu hình ở là F3
Một loài thực vật, xét 2 cặp gen phân li độp lập quy định 2 tính trạng, các alen trội là trội hoàn toàn. Cho 2 cây P có kiểu hình khác nhau về 2 tính trạng giao phối với nhau, thu được . Theo lý thuyết, phát biểu nào sau đây sai về F1?
Cơ thể thực vật có bộ NST 2n = 18, trên mỗi cặp NST xét 2 cặp gen dị hợp. Giả sử quá trình giảm phân ở cơ thể này đã xảy ra hoán vị gen ở tất cả các cặp NST nhưng ở mỗi tế bào chỉ xảy ra hoán vị gen nhiều nhất ở 1 cặp NST tại các cặp gen đang xét. Theo lí thuyết, số loại giao tử tối đa về các gen được tạo ra là:
Một loài thực vật, tính trạng màu hoa do 2 cặp gen (A, a và B, b) phân li độc lập cùng quy định; tính trạng cấu trúc cánh hoa do 1 cặp gen (D, d) quy định. Cho hai cây (P) thuần chủng giao phấn với nhau, thu được F1. Cho F1 tự thụ phấn, thu được F2 có kiểu hình phân li theo tỉ lệ 49,5% cây hoa đỏ, cánh kép : 6,75% cây hoa đỏ, cánh đơn : 25,5% cây hoa trắng, cánh kép : 18,25% cây hoa trắng, cánh đơn. Biết rằng không xảy ra đột biến nhưng xảy ra hoán vị gen trong cả quá trình phát sinh giao tử đực và giao tử cái với tần số bằng nhau. Theo lí thuyết, có bao nhiêu phát biểu sau đây đúng?
I. Kiểu gen P có thể là
II. F2 có số cây hoa đỏ, cánh kép dị hợp tử về 1 trong 3 cặp gen chiếm 12%.
III. F2 có tối đa 11 loại kiểu gen quy định kiểu hình hoa trắng, cánh kép.
IV. F2 có số cây hoa trắng, cánh đơn thuần chủng chiếm 8,25%.
Ở một quần thể thực vật ngẫu phối, gen A quy định hạt tròn trội hoàn toàn so với alen a quy định hạt dài, gen B quy định chín sớm trội hoàn toàn so với alen b quy định chín muộn. Quần thể có cấu trúc di truyền ở thế hệ xuất phát I0 . Khi cho quần thể I0 ngẫu phối thu được đời con I1, trong đó kiểu hình cây hạt dài, chín muộn chiếm 14,44%. Quần thể không chịu tác động của các nhân tố tiến hoá khác, mọi diễn biến ở quá trình phát sinh giao tử đực và giao tử cái là như nhau. Theo lý thuyết có bao nhiêu phát biểu sau đây đúng?
(1) Tần số alen A và B của quần thể I1 lần lượt là 0,5 và 0,4.
(2) Quần thể I0 đạt trạng thái cân bằng di truyền.
(3) Quần thể I1, cây hạt tròn, chín sớm thuần chủng chiếm tỉ lệ 14,44%.
(4) Quần thể I1, cây hạt dài, chín sớm chiếm tỉ lệ 10,56%.
Sơ đồ phả hệ dưới đây mô tả 2 bệnh di truyền ở người, trong đó có một bệnh do gen nằm trên vùng không tương đồng của NST giới tính X quy định. Biết rằng không có đột biến mới xảy ra ở tất cả các cá thể trong phả hệ. Xác suất cặp vợ chồng 13-14 sinh đứa con đầu lòng bị hai bệnh là bao nhiêu?
1 mã đề 40 câu hỏi
1 mã đề 40 câu hỏi

